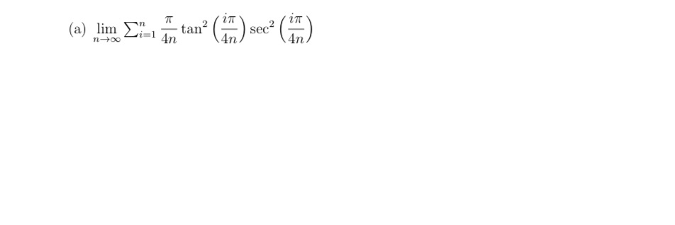
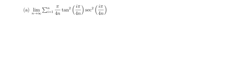
Question: Determine a region whose area is equal to the given limit and express this as an integral. Use the Fundamental Theorem of Calculus to evaluate

 Determine a region whose area is equal to the given limit

Determine a region whose area is equal to the given limit and express this as an integral. Use the Fundamental Theorem of Calculus to evaluate the integral.

and express this as an integral. Use the Fundamental Theorem of Calculus

271 TT in (a) lim Zi=1 An tan sec? An An n-+00

Step by Step Solution

There are 3 Steps involved in it

1 Expert Approved Answer
Step: 1 Unlock blur-text-image
Question Has Been Solved by an Expert!

Get step-by-step solutions from verified subject matter experts

Step: 2 Unlock
Step: 3 Unlock

Students Have Also Explored These Related Mathematics Questions!