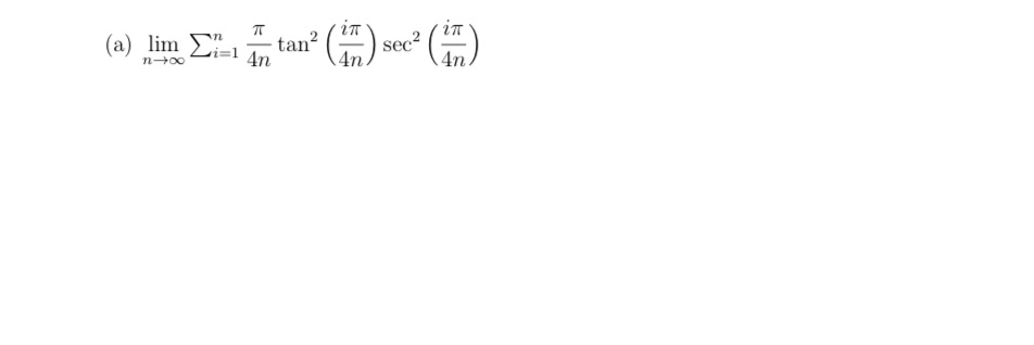
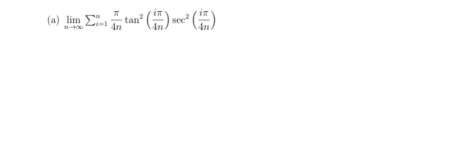
Question: Determine a region whose area is equal to the given limit and express this as an integral. Use the Fundamental Theorem of Calculus to evaluate

Determine a region whose area is equal to the given limit and express this as an integral. Use the Fundamental Theorem of Calculus to evaluate the integral.

271 TT in (a) lim Zi=1 An tan sec? An An n-+00
Step by Step Solution
There are 3 Steps involved in it
Get step-by-step solutions from verified subject matter experts
