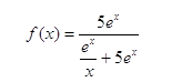
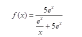
Question: Determine algebraically whether or not the following function has horizontal and/or vertical asymptotes. If you have them, please indicate which ones.

 Determine algebraically whether or not the following function has horizontal and/or

Determine algebraically whether or not the following function has horizontal and/or vertical asymptotes. If you have them, please indicate which ones.

vertical asymptotes. If you have them, please indicate which ones.

Step by Step Solution

There are 3 Steps involved in it

1 Expert Approved Answer
Step: 1 Unlock blur-text-image
Question Has Been Solved by an Expert!

Get step-by-step solutions from verified subject matter experts

Step: 2 Unlock
Step: 3 Unlock

Students Have Also Explored These Related Mathematics Questions!