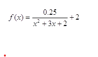
Question: Determine algebraically whether or not the following function has horizontal and/or vertical asymptotes. If you have them, please indicate which ones.

Determine algebraically whether or not the following function has horizontal and/or vertical asymptotes. If you have them, please indicate which ones.

Step by Step Solution
There are 3 Steps involved in it
Get step-by-step solutions from verified subject matter experts
