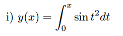
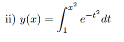
Question: determine dy/dx for Sin t dtt 11 e dtdt iii) y(z) KER 0 1 - 12 Sin 2 t sin t2dt
determine dy/dx for



Sin t dtt 11 e dtdt iii) y(z) KER 0 1 - 12 Sin 2 t
sin t2dt
Step by Step Solution
There are 3 Steps involved in it
Get step-by-step solutions from verified subject matter experts
