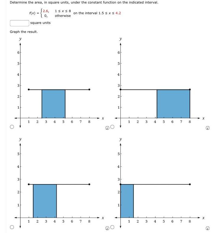
Question: Determine the area, in square units, under the constant function on the indicated interval. f(x) = [2.6, 1 x 8 on the interval 1.5
Determine the area, in square units, under the constant function on the indicated interval. f(x) = [2.6, 1 x 8 on the interval 1.5 x 4.2 0, otherwise square units. Graph the result. 6 5 4 3 2 1 5 O 3 2 1 1 2 3 4 56 7 8 6 in 5 4 3 2 1 5 4 3 2 - 1 2 3 4 5 6 7 8 T + x 1 2 3 4 5 6 7 8 1 2 3 4 5 6 7 8 x x
Step by Step Solution
There are 3 Steps involved in it
Get step-by-step solutions from verified subject matter experts
