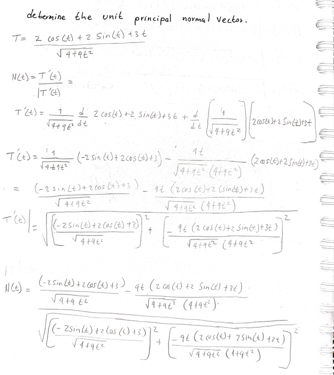
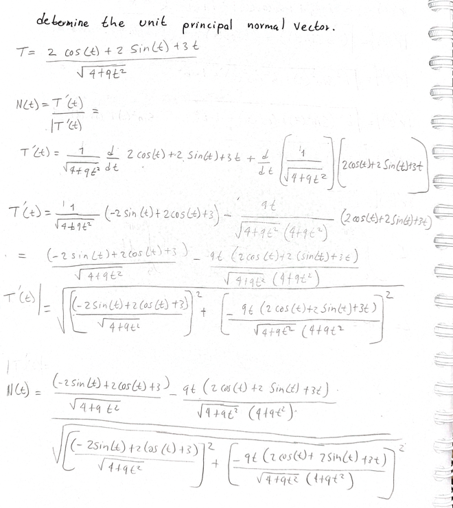
Question: determine the unit principal normal Vector . T = 2 cos (t ) + 2 sin (t ) +3 t NCt ) = T (


determine the unit principal normal Vector . T = 2 cos (t ) + 2 sin (t ) +3 t NCt ) = T ( ) IT ' ( ) TZ ) = 1 1 2 cos ( t ) + 2 sin(t ) + 3 + + 2 de de 2 cos( )+ 2 Sin (t) +3t 1 4 +9 6 2 T ( t ) = 1 1 at ( - 2 sin ( + ) + 2 cos (+) + 3) - ( 2 cos (t ) + 2 sin( ) +34 ) 14+ 9 62 ( 4+9 ( 2 ) ( - 2 s in ( t ) + 2 (05 ( 4 ) + 3 ) _ qt ( 2 cas (t )+2 ( sinkt) + Be) V 4+9 6 2 1 419 t2 ( 4+92 2 ) T (E ) ( - 2 sin (t ) + 2 (os ( t ) + 3) + it ( 2 cos ( t ) + 2 sin (t ) + 3t ) 14+q Er ( 4 +9 + 2 NCE ) = ( - 2 5in Lt ) + 2 (05 ( + ) + 3 ) at ( 2 cos ( + ) +2 Since) + 32 ) 4+9 62 1 4 tat ? ( 4 +9 + 2 ) ( - 2sinkt) +2 las ( 1 ) + 3 ) 72 + - at ( 2 cos ( *) + zsin(t ) +3+ ) V4+atz ( 1+9+ ? )
Step by Step Solution
There are 3 Steps involved in it
Get step-by-step solutions from verified subject matter experts
