Question: Develop equation 16 using index notation when Develop equation 16 using index notation when O is tensor HI (@, (x,t )(e, ge, ) dv =
Develop equation 16 using index notation when



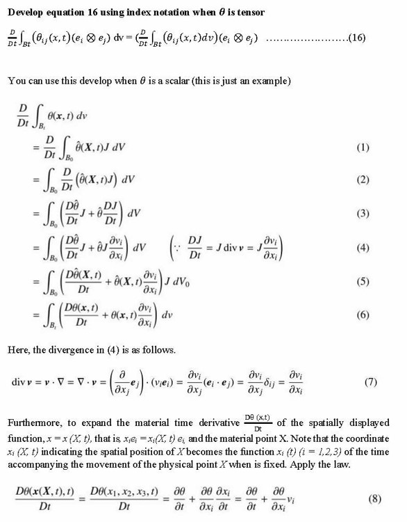
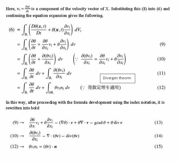
Develop equation 16 using index notation when O is tensor HI (@, (x,t )(e, ge, ) dv = (57 Jat (0,, (x,t )du) (e: @ e,) You can use this develop when O is a scalar (this is just an example) D DI J Bo [e(x.1)J av (1) (2) (3) = J + 8jovi) av DJ Di - = J divv = J- ,Ovi a.xi (4) = DO(X, 1) + 0(X, 1) avi J dVo (5) Bo DI axi DO(x, 1) avi dv (6) B, + 0(x, 1) axi Here, the divergence in (4) is as follows. dive = v . V = V .v= are). (viel) = avi avi (er . e]) = axj Ovi gij = axi (7) Furthermore, to expand the material time derivative De (x.1) Dt - of the spatially displayed function, x =x (X, D), that is x,e, =x;(X, t) e, and the material point X. Note that the coordinate * (X, t) indicating the spatial position of X" becomes the function x (t) (t = 1,2,3) of the time accompanying the movement of the physical point X when is fixed. Apply the law. DO(x(X, 1), 1) Do(x1. x2, x3, !) 00 00 ax; + or axi -Vi (8) Dt DIHere, vi = = is a component of the velocity vector of X. Substituting this (8) into (6) and at continuing the equation expansion gives the following. DO(x, 1) avi (6) = + 0(x, 1) dV, B, Dt axi = ovi -vi + 0- dv (9) ax; axi a(evi) a(evi) avi = + dv -vite- (10) or Oxi Oxi a(Ovi) (11) = dv + dv B, at JB, ax; Divergen theorm (12) In this way, after proceeding with the formula development using the index notation, it is rewritten into bold (9) - Vitovi i - (VO) . v + 0V . v - grade + 0 divv (13) ax Oxi a(Ovi) (10) - - V. (Ov) - div(ov) (14) Oxi (12) - Ovini = (Ov) . n (15)
Step by Step Solution
There are 3 Steps involved in it
Get step-by-step solutions from verified subject matter experts
