Question: DO AS INDICATED, FULL SOLUTION 2 QS 4. Given sec 1 (1 - sinh 'x) ifx 0 Discuss the continuity of f at x =

DO AS INDICATED, FULL SOLUTION 2 QS


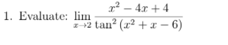
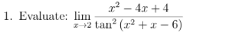
4. Given sec 1 (1 - sinh 'x) ifx 0 Discuss the continuity of f at x = 0 and x = 1. If discontinuous, classify the type of discontinuity as removable, jump essential, or infinite essential.- 4x + 4 1. Evaluate: lim 1 +2 tan' (2+2 - 6)
Step by Step Solution
There are 3 Steps involved in it
Get step-by-step solutions from verified subject matter experts
