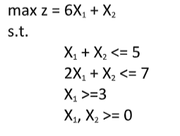
Question: Do Not Use Any Application or Software to Solve The Problem A problem is modeled into Linear Programming (primal) below. a. Write a dual formulation
Do Not Use Any Application or Software to Solve The Problem A problem is modeled into Linear Programming (primal) below.

a. Write a dual formulation of the given Linear Programming. Use a notation that conforms to the conventions of the references we use (Winston textbook). b. Consider the following two statements: "A feasible solution for dual is: y1 = 10, y2 = 10, y3 = 0, w = 110. Based on the Weak Duality concept, the primal optimal solution must have a value of z = 110." (Are these statements true or false? (You must explicitly write: "True" or "False") If you answered that the statement was "False", explain the error. c. Basic Variables for the primal optimal solution are {s1, X1, e3}. Use Dual Theorem to get a dual solution. Show me how you got it! d. There are two questions that you need to answer, namely: What is the value of the 1st shadow price constraint? Show / explain how you got it! What does the shadow price mean?
max z = 6X2 + X2 s.t. X1 + X, =3 X1, X, >= 0Step by Step Solution
There are 3 Steps involved in it
Get step-by-step solutions from verified subject matter experts
