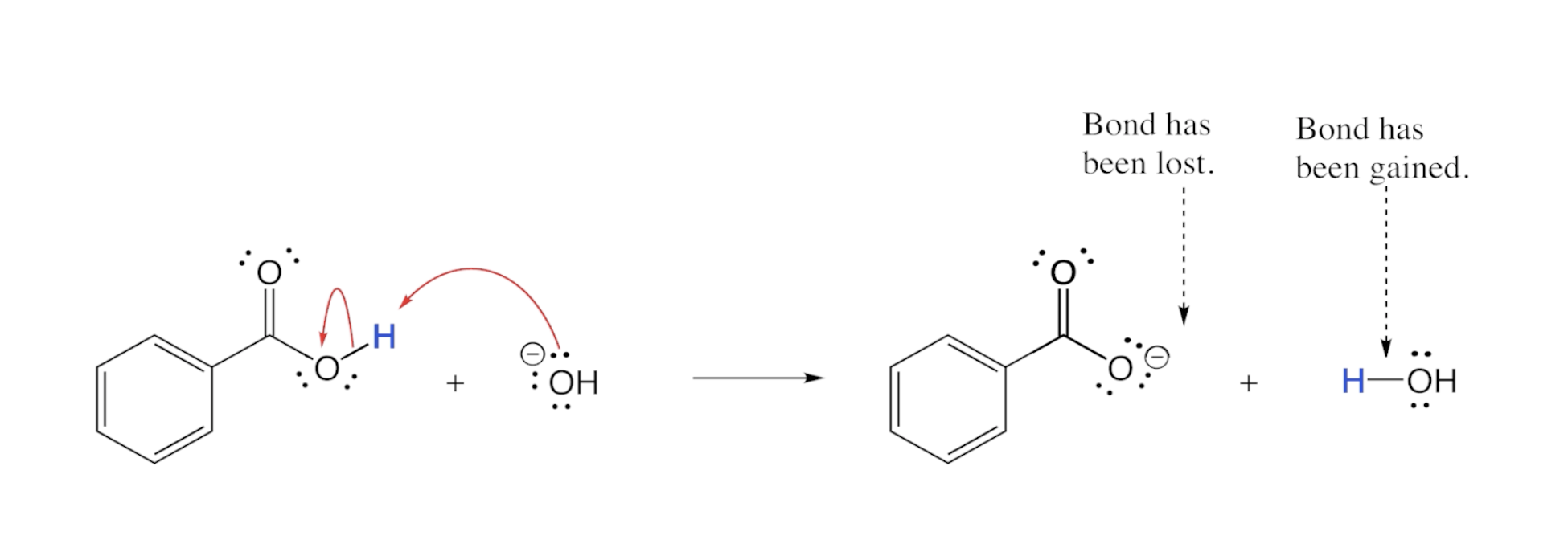
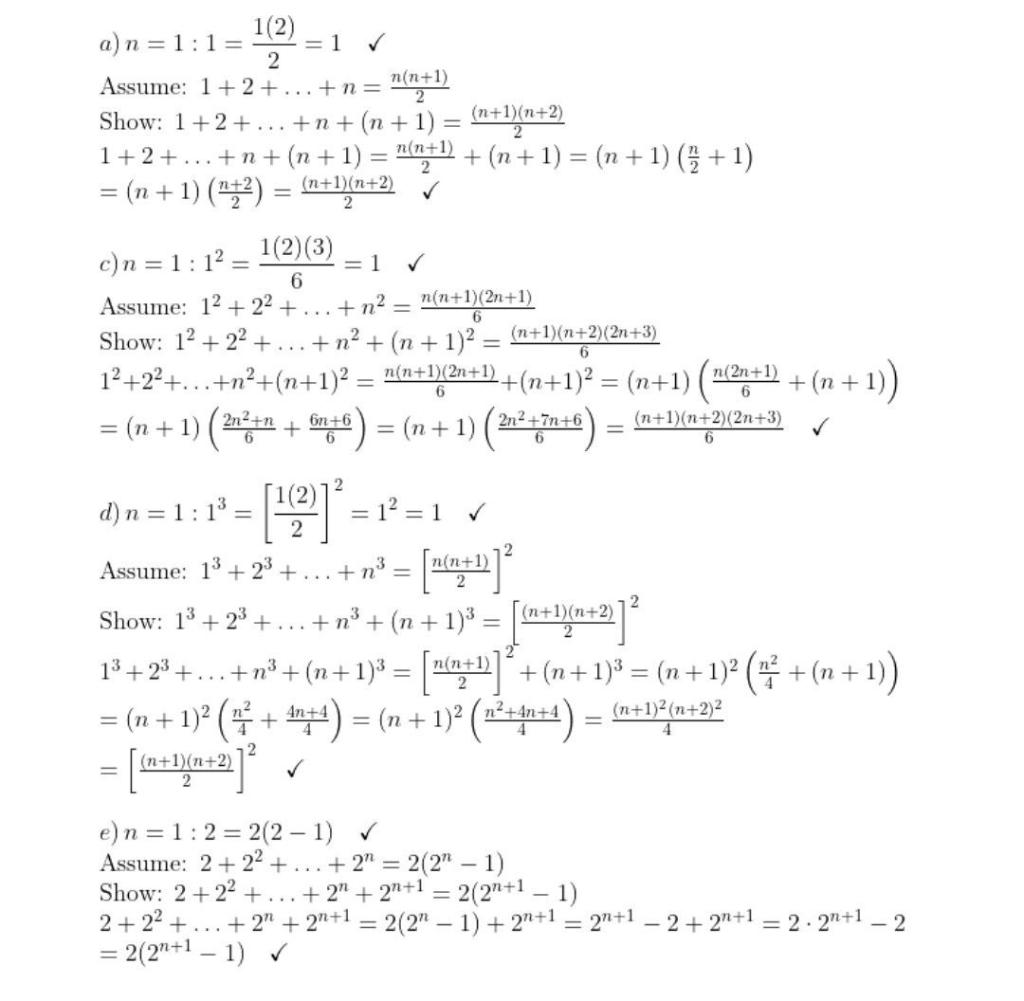
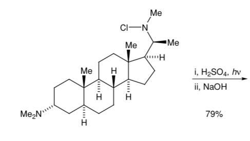
Chemical Engineering Questions and Answers May 23, 2021

Expert-verified solutions to help you succeed

Showing 1200 - 1300 of 1500
  • 13 / 15