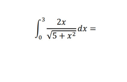
Question: Evaluate each integral. (Clearly state substitution, when appropriate) 3 2x dx = 0 V5 + x2
Evaluate each integral. (Clearly state substitution, when appropriate)

3 2x dx = 0 V5 + x2
Step by Step Solution
There are 3 Steps involved in it
Get step-by-step solutions from verified subject matter experts
