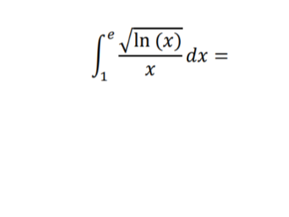
Question: Evaluate each integral. (Clearly state substitution, when appropriate) In (x) dx = 1 X
Evaluate each integral. (Clearly state substitution, when appropriate)

In (x) dx = 1 X
Step by Step Solution
There are 3 Steps involved in it
Get step-by-step solutions from verified subject matter experts
