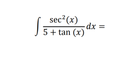
Question: Evaluate each integral. (Clearly state substitution, when appropriate) sec 2 (x dx = 5 + tan (x)
Evaluate each integral. (Clearly state substitution, when appropriate)

sec 2 (x dx = 5 + tan (x)
Step by Step Solution
There are 3 Steps involved in it
Get step-by-step solutions from verified subject matter experts
