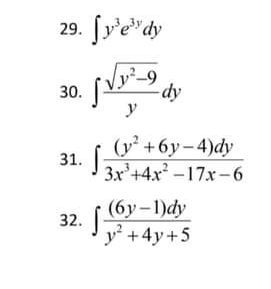
Question: Evaluate the following integrals. Provide clean and readable handwritten solutions thank you. Follow the numbering 29. e dy 1 30. dy (y' + 6y-4)dy 31.
Evaluate the following integrals. Provide clean and readable handwritten solutions thank you. Follow the numbering

29. e" dy 1 30. dy (y' + 6y-4)dy 31. - 3x +4x3-17x-6 32. (6y-1)dy y' + 4y+5
Step by Step Solution
There are 3 Steps involved in it
Get step-by-step solutions from verified subject matter experts
