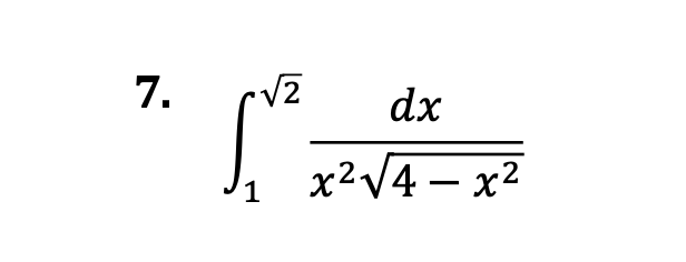
Question: evaluate the integral or state that it is divergent. Please show your work for these.I don't want anybody to use an integration table on this

evaluate the integral or state that it is divergent. Please show your work for these.I don't want anybody to use an integration table on this exam.Work is required for full credit.

?

evaluate the integral or state that it is divergent. Please show your

\f

Step by Step Solution

There are 3 Steps involved in it

1 Expert Approved Answer
Step: 1 Unlock blur-text-image
Question Has Been Solved by an Expert!

Get step-by-step solutions from verified subject matter experts

Step: 2 Unlock
Step: 3 Unlock

Students Have Also Explored These Related Mathematics Questions!