Question: Evaluate the line integral c y d x - x d y x 2 + y 2 where c i s the ellipse ( x
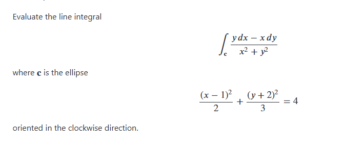
Evaluate the line integral
where the ellipse
oriented the clockwise direction.
Step by Step Solution
There are 3 Steps involved in it
1 Expert Approved Answer
Step: 1 Unlock
Question Has Been Solved by an Expert!
Get step-by-step solutions from verified subject matter experts
Step: 2 Unlock
Step: 3 Unlock
