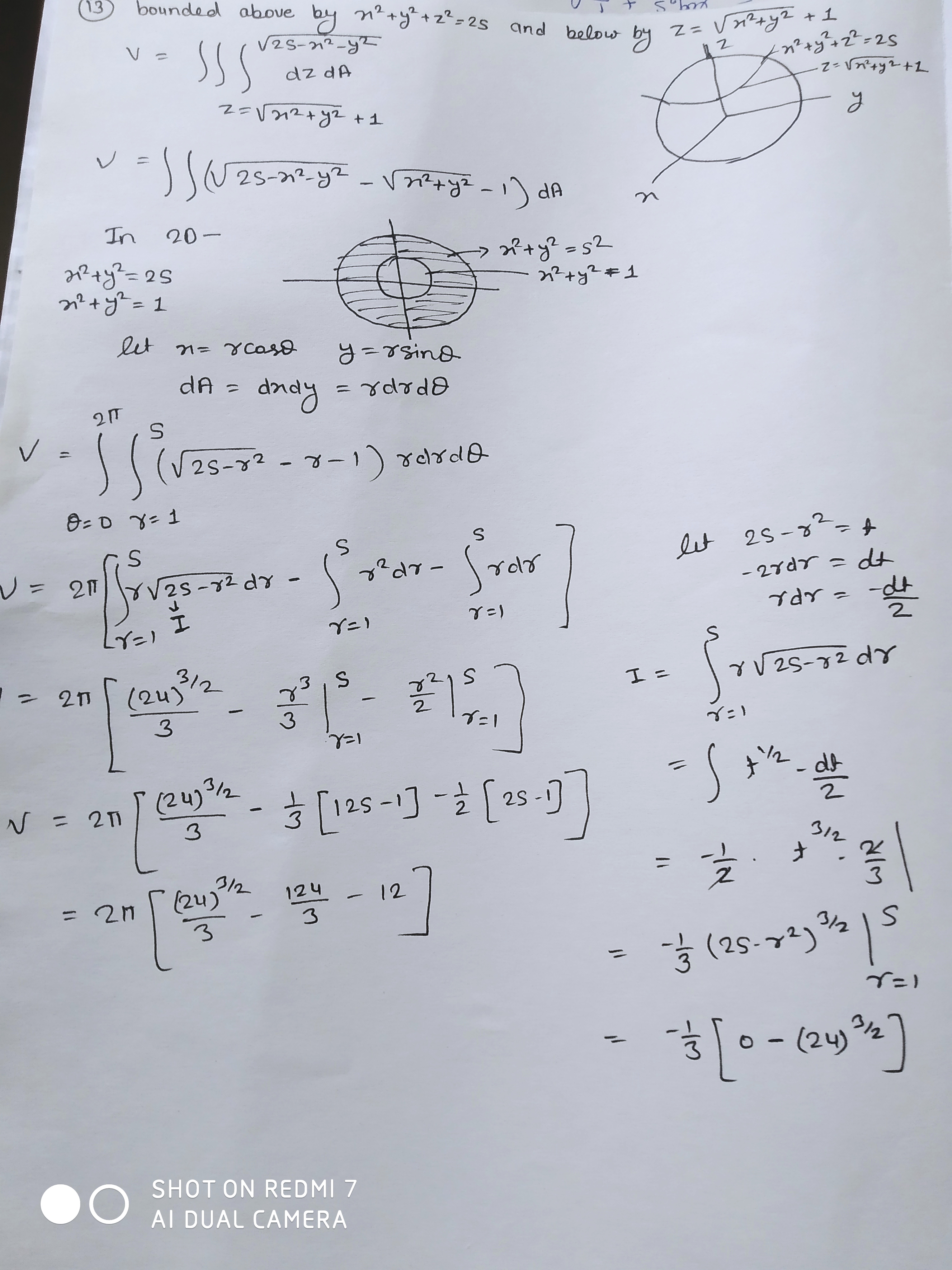
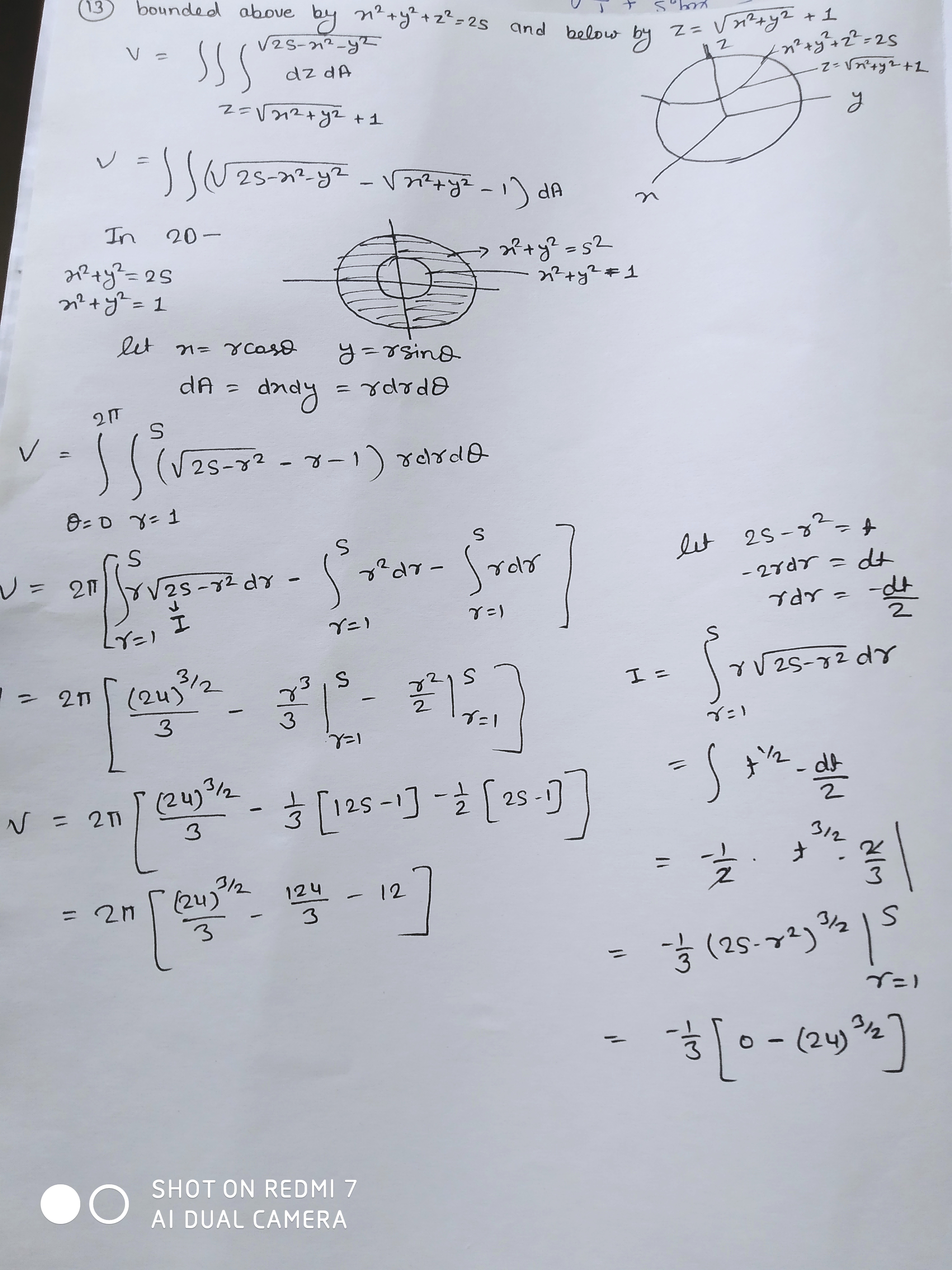
Question: Evaluate using spherical coordinates. 10. drdyde; T : 0 Evaluate using spherical coordinates. 10 dxdydz; 1 - B, 2 (1.2 + y-2).








Evaluate using spherical coordinates. 10. drdyde; T : 0
Evaluate using spherical coordinates. 10 dxdydz; 1 - B, 2 (1.2 + y-2).
Step by Step Solution
There are 3 Steps involved in it
Get step-by-step solutions from verified subject matter experts
