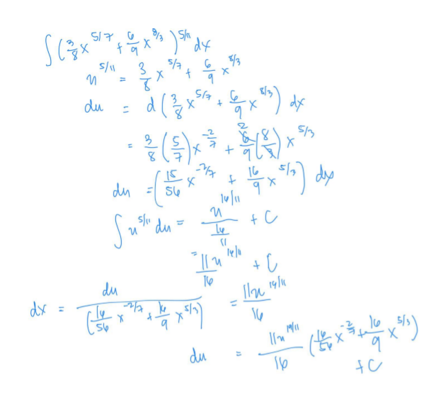
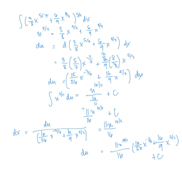
Question: exam integral calculus be brief please S(3x t /S X S/a dy 5/ 1 M 5/ 7 1 X X du d 5/7 + 8/3



exam
integral calculus
be brief please



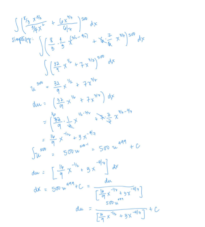
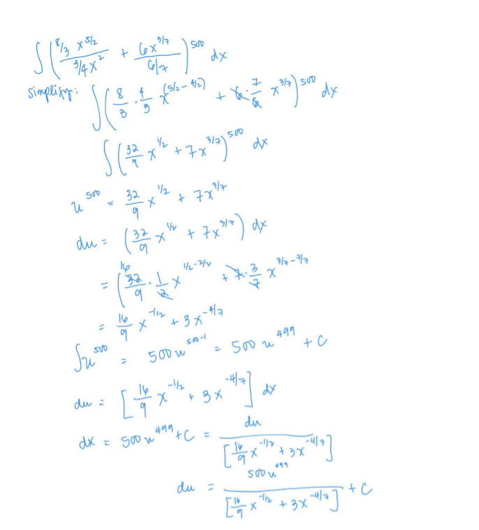
S(3x t /S X S/a dy 5/ 1 M 5/ 7 1 X X du d 5/7 + 8/3 X 2 68 5 / 3 + X MX 16 54 5/7 14/ 11 g X dy = Ly + C du dy = 14 Ilu 14/ 1 * /3) 9 14 du X X 16\fC. Inkarol Examen Persist nom De 1 ( 24 7 + 8 /X 4 ) dx 2
Step by Step Solution
There are 3 Steps involved in it
1 Expert Approved Answer
Step: 1 Unlock
Question Has Been Solved by an Expert!
Get step-by-step solutions from verified subject matter experts
Step: 2 Unlock
Step: 3 Unlock
