Question: Example I: Consider a solution that is both 0.5M glocose asd 0.5M ef an amino acid. Therefore, 1L of this solution cuetains 0.5 moles of
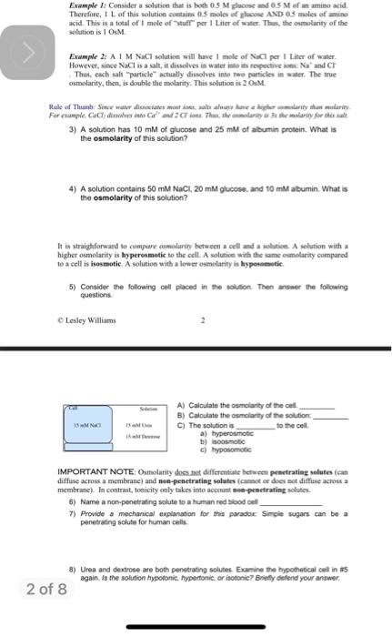
Example I: Consider a solution that is both 0.5M glocose asd 0.5M ef an amino acid. Therefore, 1L of this solution cuetains 0.5 moles of plopore AND 0.5 moles of amino acid. This is a total of I mole of "Ytuff" per 1 Liier of water, Thus, the osmolarity of the solution is 10OM. Example 2t A 1MNaCl solution will have 1 mole of NaCl per I Liter of water. However, sisce NaCl is a salt, ir dissolves in water ito its respoctive ices: Na and Cl - Thus, each saln "particle" actually dissolves inso twe particles in water. The true osmolarity, then, is double the molarity. This solution is 20sM. 3) A solution has 10mM of glucose and 25mM of albumin protein. What is the esmolarity of this solution? 4) A solution contains 50mMNaCl,20mM glucose. and 10mM albumin. What is the osmolarity of this solution? It is straighforward to compare asmolarity between a cell and a molation-. A solution with a higher osmolarity is hyperosmetic to the eell. A solution with the same esmolarity compared to a cell is ispsmotic. A solutioe with a lower osmolarity is mypesemotic. 5) Consider the following cell placed in the solution. Then answer the following questicns. O Lealcy Williams 2 A) Caiculate the osmolarity of the cel. B) Calculate the osmolarity of the solution: C) The solution is to the celt. a) hyperoemotic b) isoosmotic c) hyposernstic IMPORTANT NOTE: Osmolarity does net defferedtiase hetwetm pentratieg solutes (can diffuse aceoss a membeane) and non-penetrating solates (canot er does not diffise across a membranc). In contrast, toenicity only takes into account nen-penefrating solutes. 6) Name a non-penetrating solute to a human red blood oell 7) Provide a mechanical explanation for thin paradox simple sugars can be a penetrating sclute for human cells. Example I: Consider a solution that is both 0.5M glocose asd 0.5M ef an amino acid. Therefore, 1L of this solution cuetains 0.5 moles of plopore AND 0.5 moles of amino acid. This is a total of I mole of "Ytuff" per 1 Liier of water, Thus, the osmolarity of the solution is 10OM. Example 2t A 1MNaCl solution will have 1 mole of NaCl per I Liter of water. However, sisce NaCl is a salt, ir dissolves in water ito its respoctive ices: Na and Cl - Thus, each saln "particle" actually dissolves inso twe particles in water. The true osmolarity, then, is double the molarity. This solution is 20sM. 3) A solution has 10mM of glucose and 25mM of albumin protein. What is the esmolarity of this solution? 4) A solution contains 50mMNaCl,20mM glucose. and 10mM albumin. What is the osmolarity of this solution? It is straighforward to compare asmolarity between a cell and a molation-. A solution with a higher osmolarity is hyperosmetic to the eell. A solution with the same esmolarity compared to a cell is ispsmotic. A solutioe with a lower osmolarity is mypesemotic. 5) Consider the following cell placed in the solution. Then answer the following questicns. O Lealcy Williams 2 A) Caiculate the osmolarity of the cel. B) Calculate the osmolarity of the solution: C) The solution is to the celt. a) hyperoemotic b) isoosmotic c) hyposernstic IMPORTANT NOTE: Osmolarity does net defferedtiase hetwetm pentratieg solutes (can diffuse aceoss a membeane) and non-penetrating solates (canot er does not diffise across a membranc). In contrast, toenicity only takes into account nen-penefrating solutes. 6) Name a non-penetrating solute to a human red blood oell 7) Provide a mechanical explanation for thin paradox simple sugars can be a penetrating sclute for human cells
Step by Step Solution
There are 3 Steps involved in it
Get step-by-step solutions from verified subject matter experts
