Question: Excel Solver 1) Formulate and solve a spreadsheet model for the maximum flow problem, shown below, where node A is the source, node F is
Excel Solver
1) Formulate and solve a spreadsheet model for the maximum flow problem, shown below, where node A is the source, node F is the sink, and arc capacities are numbers in parentheses shown next to arcs.
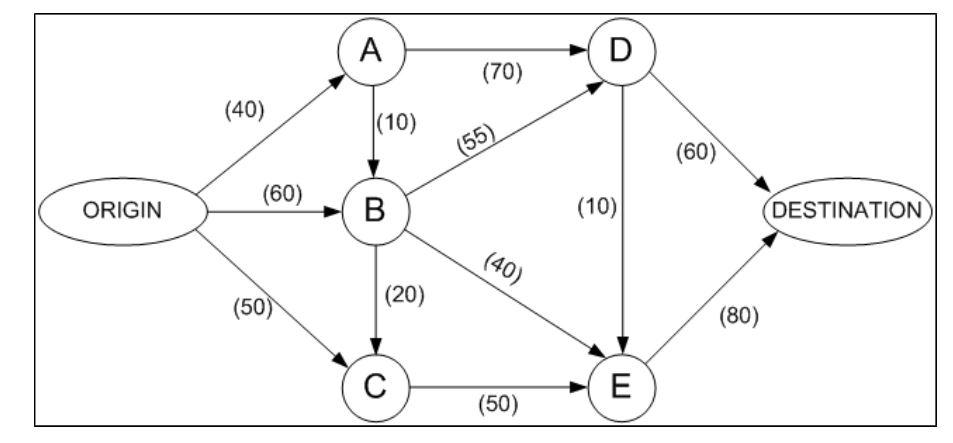
2) Formulate and solve a spreadsheet model for the shortest path problem, shown below, starting from ORIGIN and ending in DESTINATION. Distances between points in miles in parentheses are shown next to arcs.

Step by Step Solution
There are 3 Steps involved in it
Get step-by-step solutions from verified subject matter experts
