Question: Exercise Solve using Eurier's equation in spherical coordinates In certain regions, farmers' hayballs ignite spontaneously. We are the insurance company and this gets expensive as

Exercise

Solve using Eurier's equation in spherical coordinates

In certain regions, farmers' hayballs ignite spontaneously.

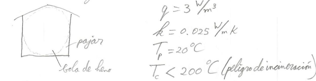
We are the insurance company and this gets expensive as fermenting hay produces heat, which has to be removed. What male diameter can hay balls have? Use the following data:

Exercise Solve using Eurier's equation in spherical coordinates In certain regions, farmers'

Consider the haystack to be spherical.

q=3W/m3k=0.025W/mkTp=20CTc

Step by Step Solution

There are 3 Steps involved in it

1 Expert Approved Answer
Step: 1 Unlock blur-text-image
Question Has Been Solved by an Expert!

Get step-by-step solutions from verified subject matter experts

Step: 2 Unlock
Step: 3 Unlock

Students Have Also Explored These Related Chemical Engineering Questions!