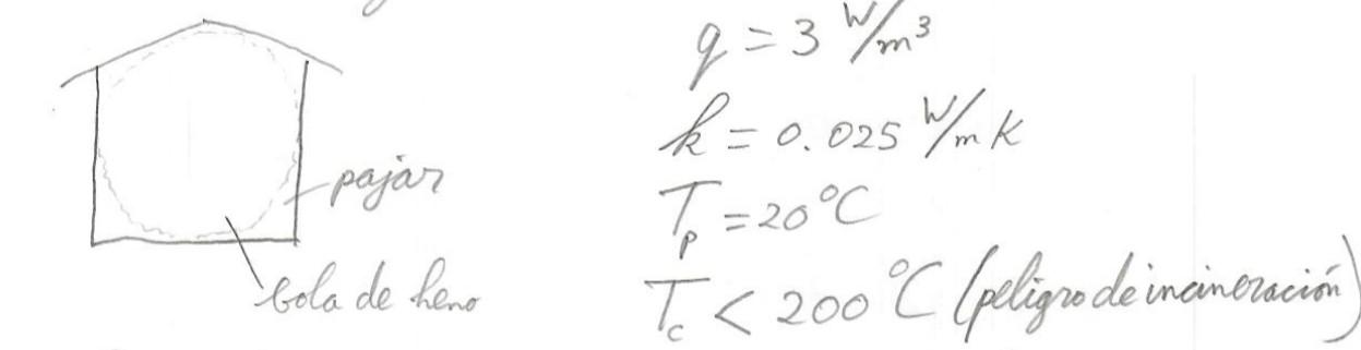
Question: Exercise Solve using Eurier's equation in spherical coordinates In certain regions, farmers' hayballs ignite spontaneously. We are the insurance company and this gets expensive as
Exercise
Solve using Eurier's equation in spherical coordinates
In certain regions, farmers' hayballs ignite spontaneously.
We are the insurance company and this gets expensive as fermenting hay produces heat, which has to be removed. What male diameter can hay balls have? Use the following data:

Consider the haystack to be spherical.
q=3W/m3k=0.025W/mkTp=20CTc
Step by Step Solution
There are 3 Steps involved in it
Get step-by-step solutions from verified subject matter experts
