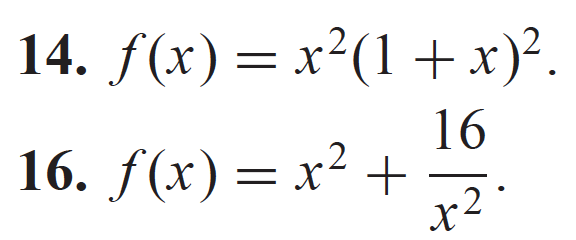
Question: Exercises 124. Find the intervals on which f increases and the intervals on which f decreases. Exercises 124. Find the intervals on which f increases




Exercises 124. Find the intervals on which f increases and the intervals on which f decreases.
Exercises 124. Find the intervals on which f increases and the intervals on which f decreases.
Step by Step Solution
There are 3 Steps involved in it
1 Expert Approved Answer
Step: 1 Unlock
Question Has Been Solved by an Expert!
Get step-by-step solutions from verified subject matter experts
Step: 2 Unlock
Step: 3 Unlock
