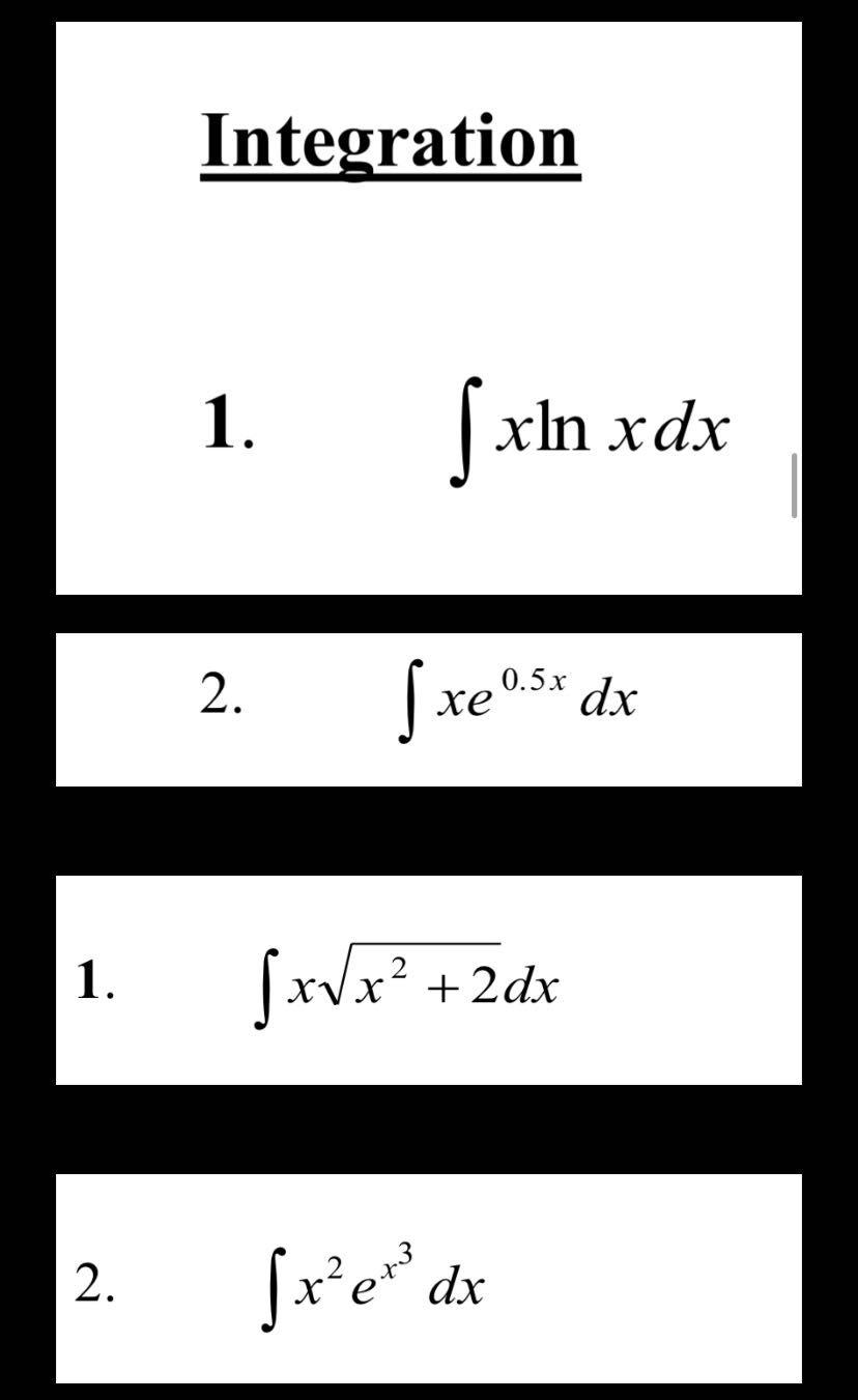
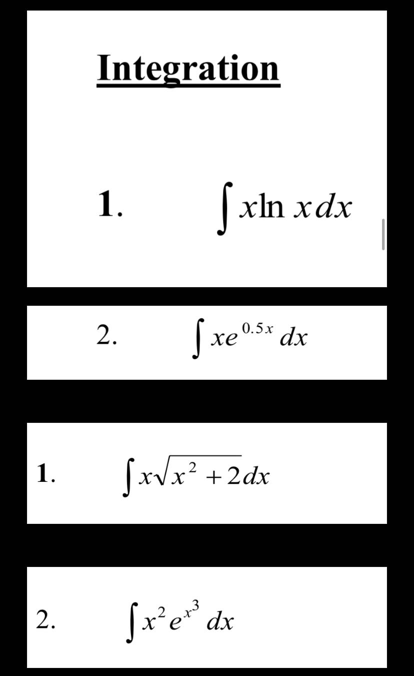
Question: Integration 1. 2. 1. 2. xln xdx xeo dx x x +2dx x2ex dx


Integration 1. 2. 1. 2. xln xdx xeo dx x x +2dx x2ex dx
Step by Step Solution
There are 3 Steps involved in it
Get step-by-step solutions from verified subject matter experts
