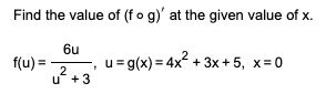
Question: Find the value of (f o g)' at the given value of x. f(u)=

Find the value of (f o g)' at the given value of
x. f(u)=

Find the value of (f o g)' at the given value of x. f(u)=

Step by Step Solution

There are 3 Steps involved in it

1 Expert Approved Answer
Step: 1 Unlock blur-text-image
Question Has Been Solved by an Expert!

Get step-by-step solutions from verified subject matter experts

Step: 2 Unlock
Step: 3 Unlock

Students Have Also Explored These Related Mathematics Questions!