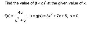
Question: Find the value of (f o g)' at the given value of x. f(u)=


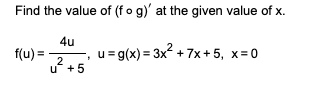
Find the value of (f o g)' at the given value of x. f(u)=
Step by Step Solution
There are 3 Steps involved in it
Get step-by-step solutions from verified subject matter experts
