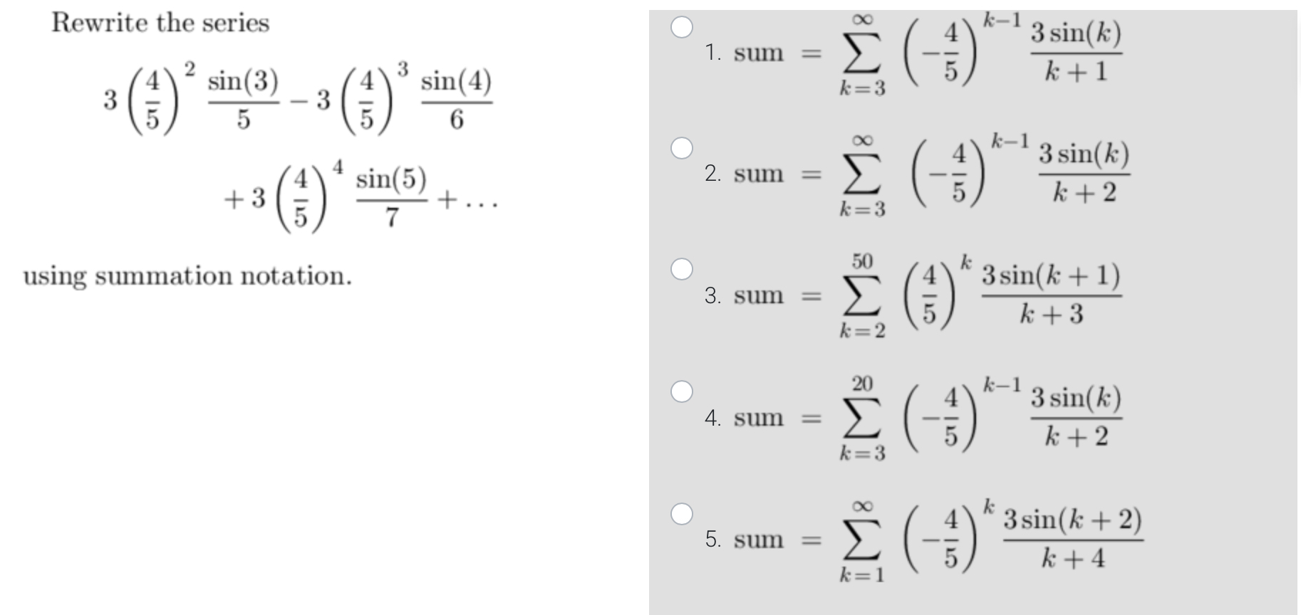
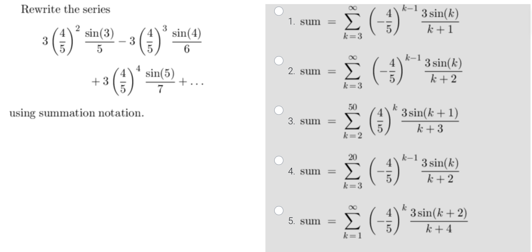
Question: Rewrite the series sin(3) +3 using summation notation. sin(4) sin(5) I sum 2. sum 3. sum 4. sum 5. sum 3 sin(k) 3 sin(k)


Rewrite the series sin(3) +3 using summation notation. sin(4) sin(5) I sum 2. sum 3. sum 4. sum 5. sum 3 sin(k) 3 sin(k) (0k 3 sin(k) 3sin(k + 2)
Step by Step Solution
There are 3 Steps involved in it
Get step-by-step solutions from verified subject matter experts
