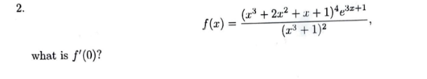
Question: + 2:C2 + + l)4eJz+1 what is f'


+ 2:C2 + + l)4eJz+1 what is f'
Step by Step Solution
There are 3 Steps involved in it
Get step-by-step solutions from verified subject matter experts


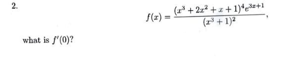
+ 2:C2 + + l)4eJz+1 what is f'
There are 3 Steps involved in it
Get step-by-step solutions from verified subject matter experts