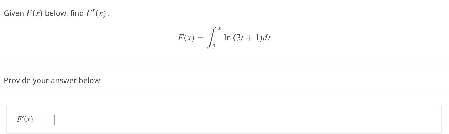
Question: Given F (x) below, find F' (x) . Provide your answer below: F'(x) - In (3t+ l)dt


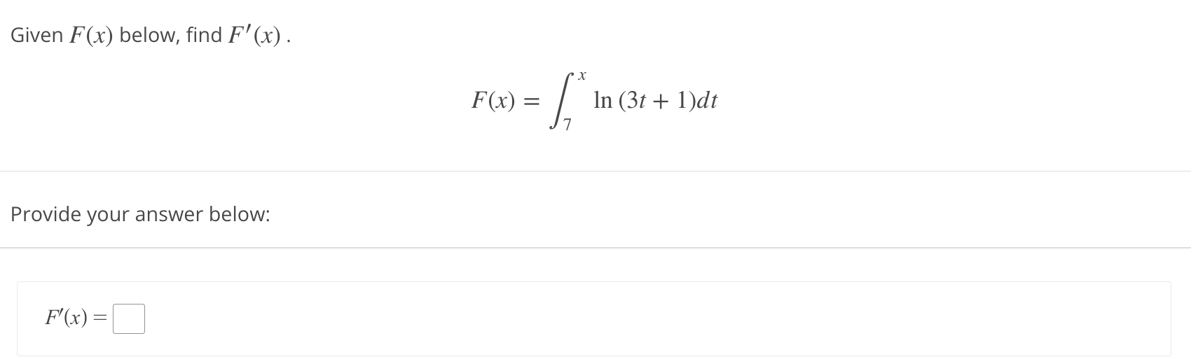
Given F (x) below, find F' (x) . Provide your answer below: F'(x) - In (3t+ l)dt
Step by Step Solution
There are 3 Steps involved in it
Get step-by-step solutions from verified subject matter experts
