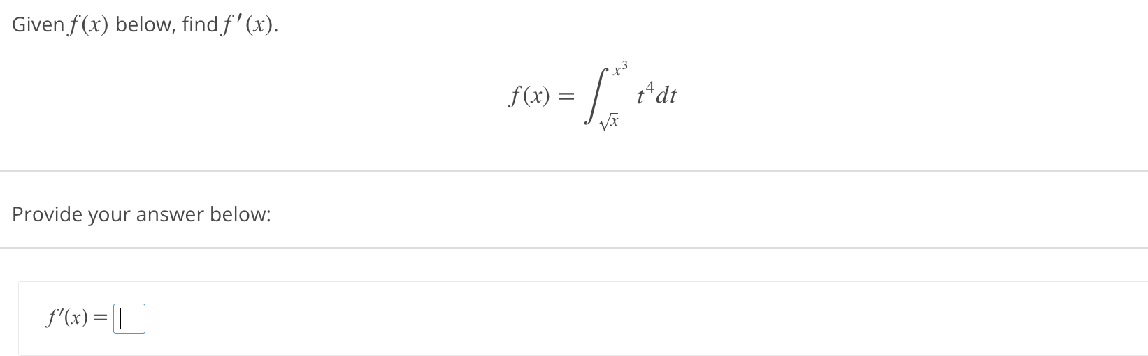
Question: Given f (x) below, find f' (x). f(x) = Provide your answer below: t4dt


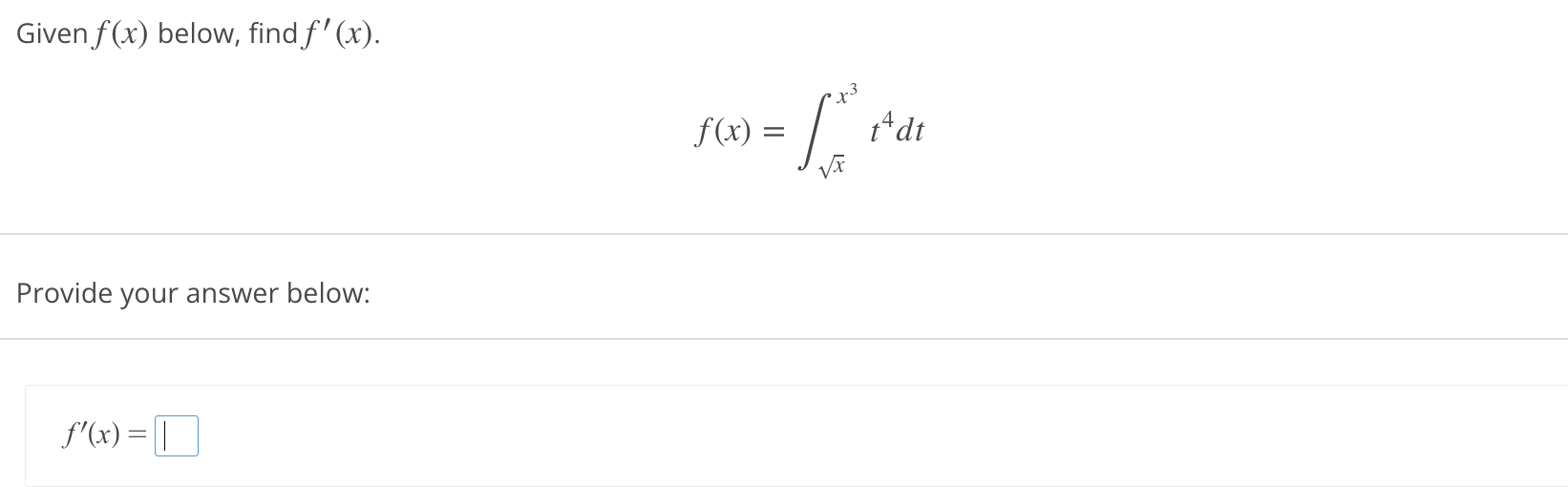
Given f (x) below, find f' (x). f(x) = Provide your answer below: t4dt
Step by Step Solution
There are 3 Steps involved in it
Get step-by-step solutions from verified subject matter experts
