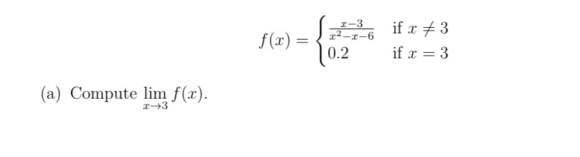
Question: 0.2 if x 3 if x 3 (a) Compute lim f(:r).


0.2 if x 3 if x 3 (a) Compute lim f(:r).
Step by Step Solution
There are 3 Steps involved in it
Get step-by-step solutions from verified subject matter experts


0.2 if x 3 if x 3 (a) Compute lim f(:r).
There are 3 Steps involved in it
Get step-by-step solutions from verified subject matter experts