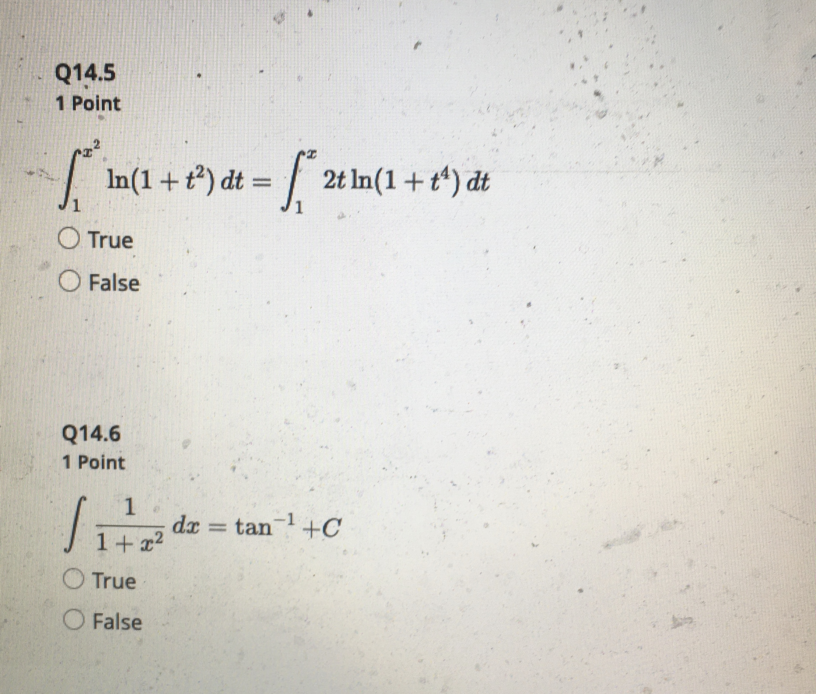
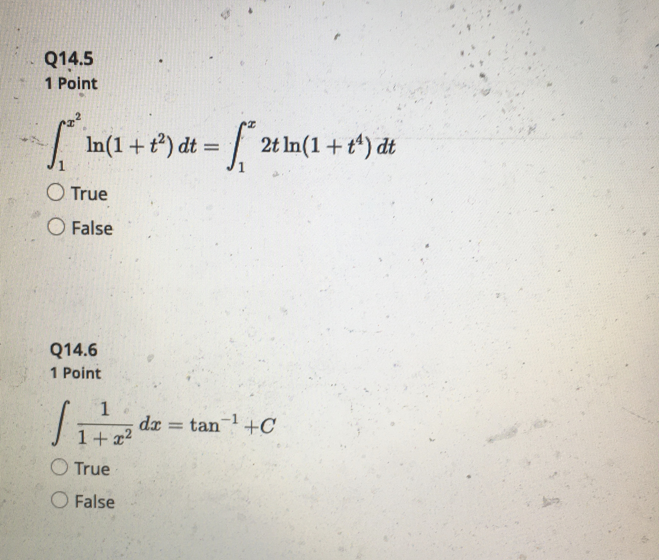
Question: In 1 + t2) dt O True False dc = tan 0) True 2t In(l -F td) dt


In 1 + t2) dt O True False dc = tan 0) True 2t In(l -F td) dt
Step by Step Solution
There are 3 Steps involved in it
Get step-by-step solutions from verified subject matter experts
