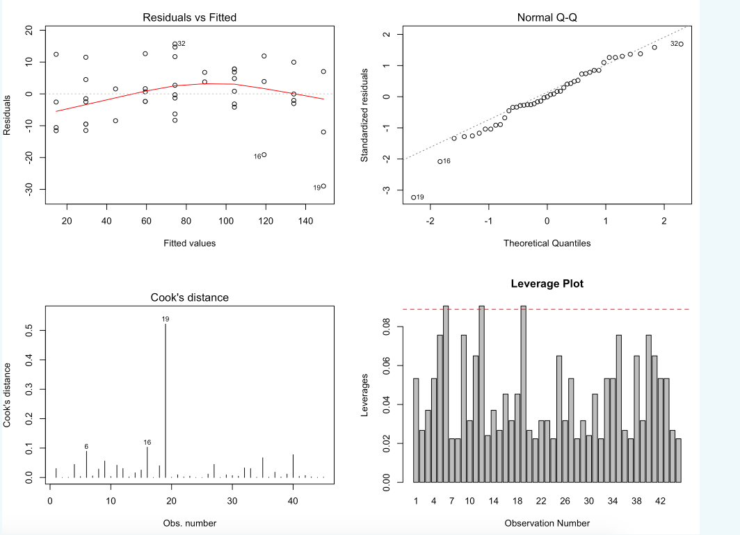
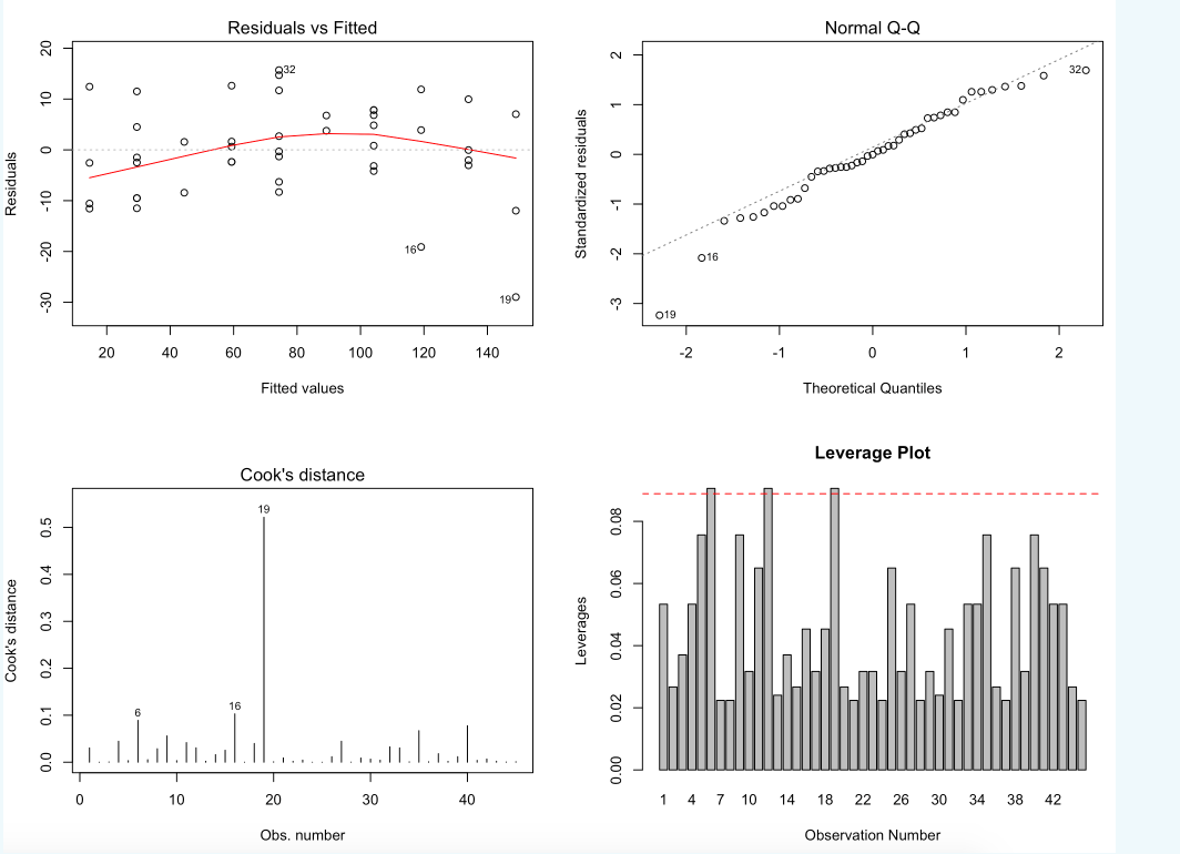
Question: Residuals vs Fitted 40 10 60 932 80 100 120 190 140 Fitted values Cook's distance 20 Obs. 40 4 7 10 Normal Q-Q


Residuals vs Fitted 40 10 60 932 80 100 120 190 140 Fitted values Cook's distance 20 Obs. 40 4 7 10 Normal Q-Q Theoretical Quantiles Leverage Plot 14 18 22 26 30 Observation Number 34 38 42 number
Step by Step Solution
There are 3 Steps involved in it
Get step-by-step solutions from verified subject matter experts
