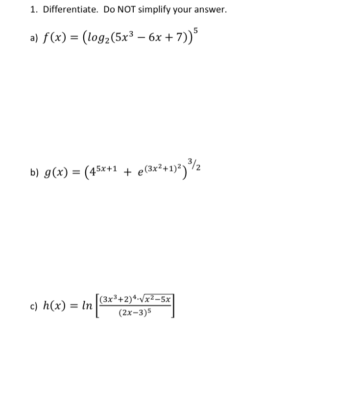
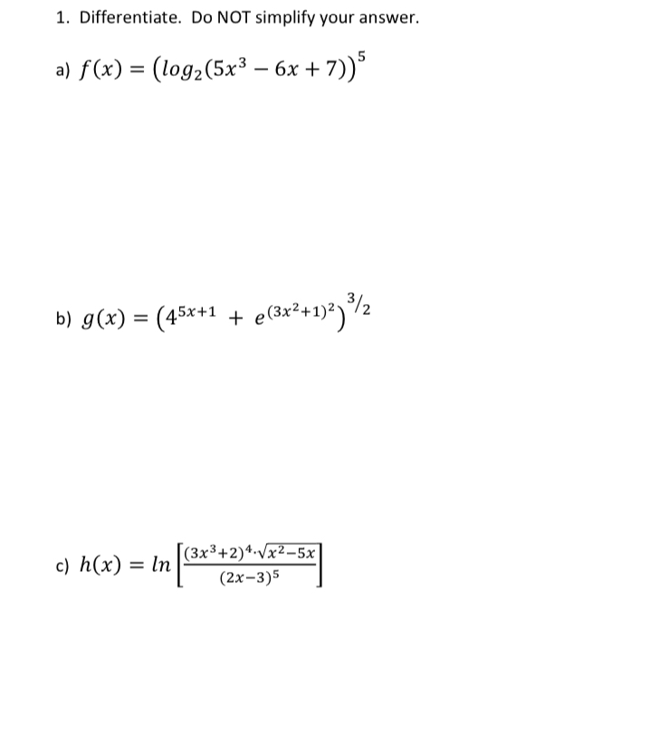
Question: 1. Differentiate. Do NOT simplify your answer. = (Iog2(5x3 6x + 7)) s + e (3x2+1)2) (45X+1 b) g(x) = c) h(x) =


1. Differentiate. Do NOT simplify your answer. = (Iog2(5x3 6x + 7)) s + e (3x2+1)2) (45X+1 b) g(x) = c) h(x) =
Step by Step Solution
There are 3 Steps involved in it
Get step-by-step solutions from verified subject matter experts
