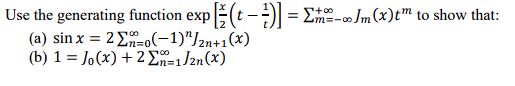
Question: Use the generating function exp t (a) sinx = (x) 2n+1 (b) 1 = JO(X) + 2 (x)tm to show that:


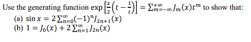
Use the generating function exp t (a) sinx = (x) 2n+1 (b) 1 = JO(X) + 2 (x)tm to show that:
Step by Step Solution
There are 3 Steps involved in it
Get step-by-step solutions from verified subject matter experts
