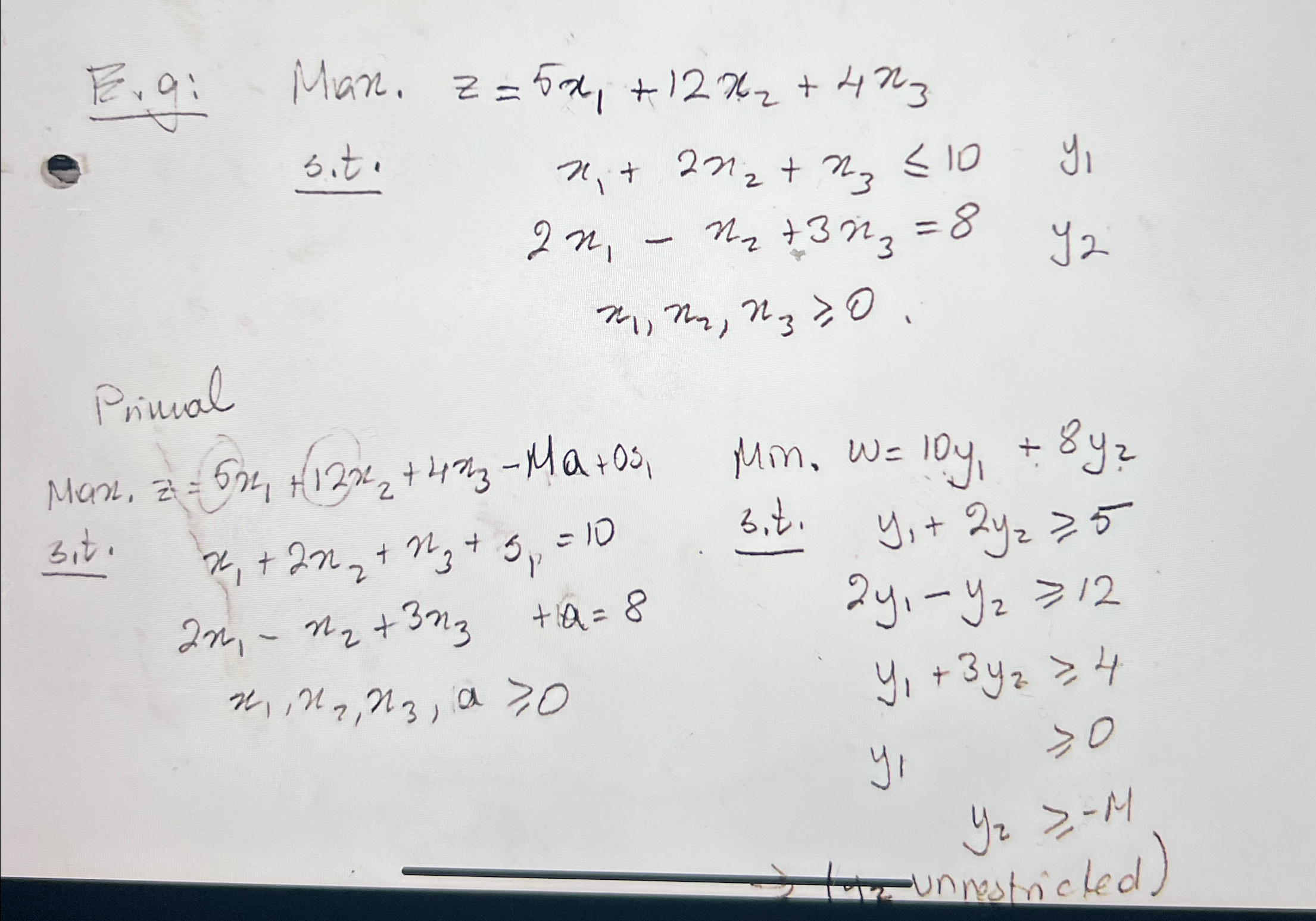
Question: F . g: Max, z = 5 x 1 + 1 2 x 2 + 4 x 3 s . t . x 1 +
Fg: Max,
st
Primal
t
unnestricled
Step by Step Solution
There are 3 Steps involved in it
1 Expert Approved Answer
Step: 1 Unlock
Question Has Been Solved by an Expert!
Get step-by-step solutions from verified subject matter experts
Step: 2 Unlock
Step: 3 Unlock
