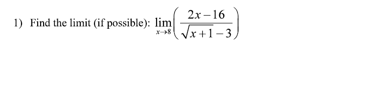
Question: 2x 16 1) Find the limit (if possible): lim




2x 16 1) Find the limit (if possible): lim
Step by Step Solution
There are 3 Steps involved in it
Get step-by-step solutions from verified subject matter experts
