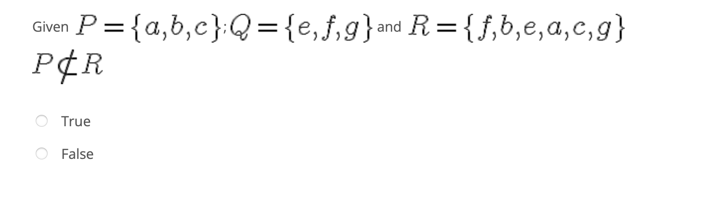
Question: ffGiven P = {a,b,c}:Q = {e, f, g } and R = { f,b, e, a, c,g} PCR O True O False



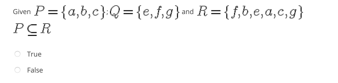
\f\fGiven P = {a,b,c}:Q = {e, f, g } and R = { f,b, e, a, c,g} PCR O True O False
Step by Step Solution
There are 3 Steps involved in it
1 Expert Approved Answer
Step: 1 Unlock
Question Has Been Solved by an Expert!
Get step-by-step solutions from verified subject matter experts
Step: 2 Unlock
Step: 3 Unlock
