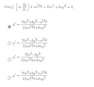
Question: Find y if we 129 - 10# + 3ay = 8, 70#+393 _12y = O = 12*=12y+9x;2 O 70#+393+elly w. ... O 12#12y +day2


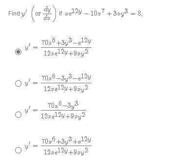
Find y if we 129 - 10# + 3ay = 8, 70#+393 _12y = O = 12*=12y+9x;2 O 70#+393+elly w. ... O 12#12y +day2
Step by Step Solution
There are 3 Steps involved in it
Get step-by-step solutions from verified subject matter experts
