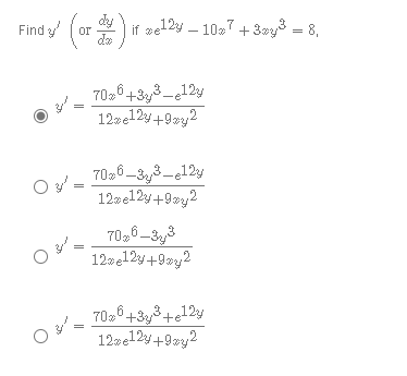
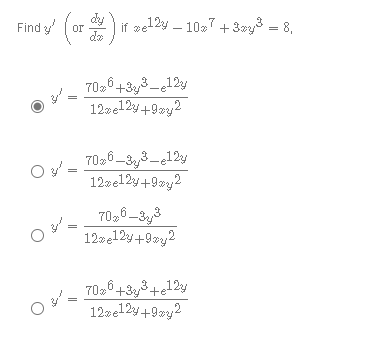
Question: Find y if we 129 - 10# + 3ay = 8, 70#+393 _12y = O = 12*=12y+9x;2 O 70#+393+elly w. ... O 12#12y +day2

 Find y if we 129 - 10# + 3ay = 8,

70#+393 _12y = O = 12*=12y+9x;2 O 70#+393+elly w. ... O 12#12y

Find y if we 129 - 10# + 3ay = 8, 70#+393 _12y = O = 12*=12y+9x;2 O 70#+393+elly w. ... O 12#12y +day2

Step by Step Solution

There are 3 Steps involved in it

1 Expert Approved Answer
Step: 1 Unlock blur-text-image
Question Has Been Solved by an Expert!

Get step-by-step solutions from verified subject matter experts

Step: 2 Unlock
Step: 3 Unlock

Students Have Also Explored These Related Mathematics Questions!