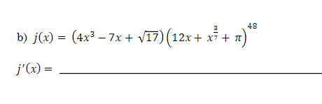
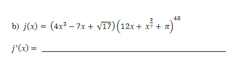
Question: For each function compute the derivative. Do NOT simplify your answers. (4x3 7x + (12x + x; Tt b) j(x)

For each function compute the derivative. Do NOT simplify your answers.

(4x3 7x + (12x + x; Tt b) j(x)
Step by Step Solution
There are 3 Steps involved in it
Get step-by-step solutions from verified subject matter experts
