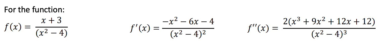
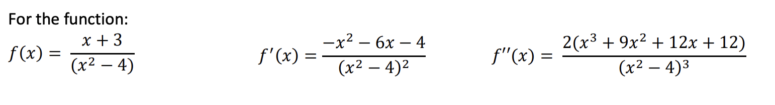
Question: For the function: x +3 f ( x ) = -x2 - 6x - 4 f' (x) = 2(x3 + 9x2 + 12x + 12)




For the function: x +3 f ( x ) = -x2 - 6x - 4 f' (x) = 2(x3 + 9x2 + 12x + 12) (x2 - 4) (x2 - 4)2 f"(x) = (x2 - 4)3f) Find point(s) of inflection. g) Sketch. Include labels for: intercepts, asymptotes, critical point(s), and point(s) of inflection
Step by Step Solution
There are 3 Steps involved in it
Get step-by-step solutions from verified subject matter experts
