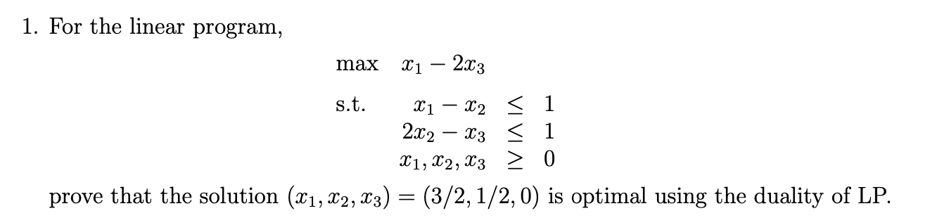
Question: For the linear program, max, x 1 - 2 x 3 s . t . x 1 - x 2 1 , 2 x 2
For the linear program,
max,
prove that the solution is optimal using the duality of LP
Step by Step Solution
There are 3 Steps involved in it
1 Expert Approved Answer
Step: 1 Unlock
Question Has Been Solved by an Expert!
Get step-by-step solutions from verified subject matter experts
Step: 2 Unlock
Step: 3 Unlock
