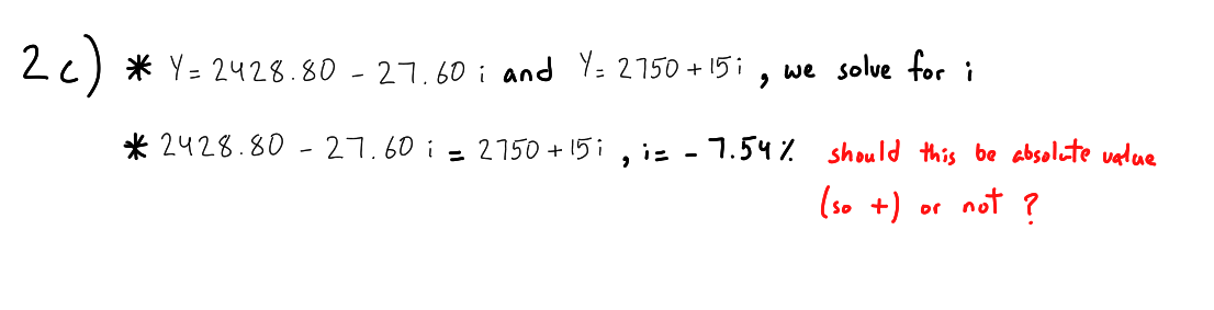
Question: For this question: 2 c ) * Y= 2428.80 - 27. 60 ; and 1: 2750+ 15i, we solve for ; * 2428.80 - 27.







For this question:








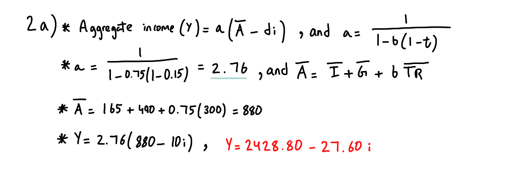
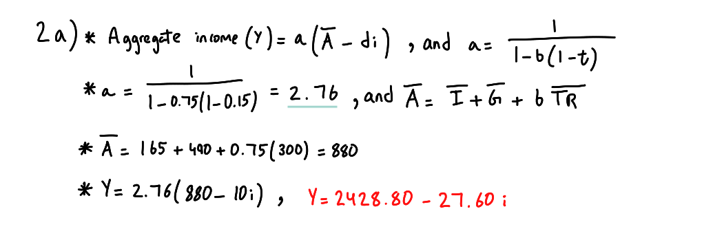
2 c ) * Y= 2428.80 - 27. 60 ; and 1: 2750+ 15i, we solve for ; * 2428.80 - 27. 60 i = 2750+ 15i, i= - 7.54% should this be absolute value ( so + ) or not ?\f- 2 a ) * Aggregate income (Y ) = a ( A - di ) , and a= 1-b(1-t ) * a = 1 - 0 .75 ( 1 - 0.15 ) = 2. 76 , and A = I+ 6 + 6 TR * A = 165 + 490 + 0.75 ( 300) = 880 * Y = 2. 76 ( 880- 10:) , Y= 2428.80 - 27.60 iNow nd output when i=5 (Le. equilibrium r}, by plugging it into our IS schedule Y = 21847(5) = 2149 As a check we can plug i into our LM schedule as well. This should give us the same level of output as abovel! Y 2 30(5) +2000 2 2150 We can see that we are very close. . In fact, the only difference is due to rounding error, so we are happy that we have the correct solution. Question 3: Calculate the equilibrium level of income and interest rates. Sketch this equilibrium position. We now know every level of output that corresponds to equilibrium in the goods market for any given interest rate (and vice versa) We also know the same for equilibrium in the money.r market What we don't know and we want to know is when both markets are in equilibrium at the same time First we set lS=lel, which is the precise point at which /3 the two lines intersect and solve for either Y or i To discover this we do two things > Then we \"plug-in\" this value for either the IS or the lel equation and solve for the other. We can do this because the equations are equal to each other now (given the equilibrium), so they are effectively two different ways of describing the same point (Y, i} Question 4*** ECONOMICS What is the value of the monetary policy multiplier with OF BUSINESS respect to income and interest rates? If the money supply is reduced by 10, what are the new Notes market-clearing income and interest rate levels? Straight-forward calculation problem Need to know your formulae for various multipliers The monetary policy multiplier w.r.t. Fiscal policy (change in G or T) income w.r.t. Y and i Monetary policy (change in M/P) (2.8) . (2.5) w.r.t. Y and i a . d = 1.9 h+ [a . d . k] (3) + [(2.8) .(2.5).(0.1)] In order to calculate the new income level First we have to calculate the Income Change The monetary policy multiplier w.n.t. the interest rate AY = (1.9)(-10) = -19 Y' = Y+(-19)=2150-19 =2131 -0.3 h+[a.d.k] (3) +[(2.8) .(2.5) .(0.1)] In order to calculate the new interest rate First we have to calculate the Int. Rate Change Ai = (-0.3)(-10) =3 i' =i+3 =5+3=8So if the IS schedule is: and the LM schedule is: Y = 2184 - 7i Y = 30i + 2000 then the interest rate in equilibrium must be 2184-7i = 30i+ 2000 37i = 184 zi~ 5 Interest rates are always interpreted as percentages, so i = 5%.Consider an IS..-"LM model of an economy with the following equations C = 220 + 0.?5Yd 1_= 165 10i G= 490 TE: 300 T = .lSY L = .2Y 3i a7..-'? = 550 (a) Using the above data, derive the equation for the IS curve. {b} What is the equation for the LM curve? (c) Calculate the equilibrium level of income and interest rates. Sketch the relevant diagram. ({1} 'What are the values of the monetary policy multiplier with respect to income and interest rates? If the money supply is reduced by 505 what are the new market-clearing income and interest rate levels? [All calculations to two decimal points]
Step by Step Solution
There are 3 Steps involved in it
Get step-by-step solutions from verified subject matter experts
