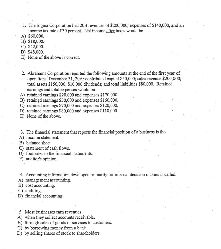
Question: Give me the answer and tell me why. (Please type the answer, dont take picture.) 1. The Sigma Corporation had 20B revenues of $200,000, expenses
Give me the answer and tell me why. (Please type the answer, dont take picture.)

1. The Sigma Corporation had 20B revenues of $200,000, expenses of $140,000, and an income tax rate of 30 percent. Net income after taxes would be A) $60,000 B) $18,000. C) $42,000. D) S48,000. E) None of the above is correct. 2. Abrahams Corporation reported the following amounts at the end of the first year of operations, December 31, 20A: contributed capital $50,000; sales revenue $200,000; total assets $150,000; $10,000 dividends; and total liabilities $80,000. Retained earnings and total expenses would be A) retained earnings $20,000 and expenses $170,000 B) retained earnings S30,000 and expenses S160,000 C) retained earnings S$70,000 and expenses $120,000. D) retained earnings $80,000 and expenses $110,000 E) None of the above. 3. The financial statement that reports the financial position of a business is the A) income statement. B) balance sheet. C) statement of cash flows D) footnotes to the financial statements. E) auditor's opinion. 4. Accounting information developed primarily for internal decision makers is called A) management accounting. B) cost accounting. C) auditing. D) financial accounting. 5. Most businesses earn revenues A) when they collect accounts receivable B) through sales of goods or services to customers C) by borrowing money from a bank. D) by selling shares of stock to shareholders
Step by Step Solution
There are 3 Steps involved in it
Get step-by-step solutions from verified subject matter experts
