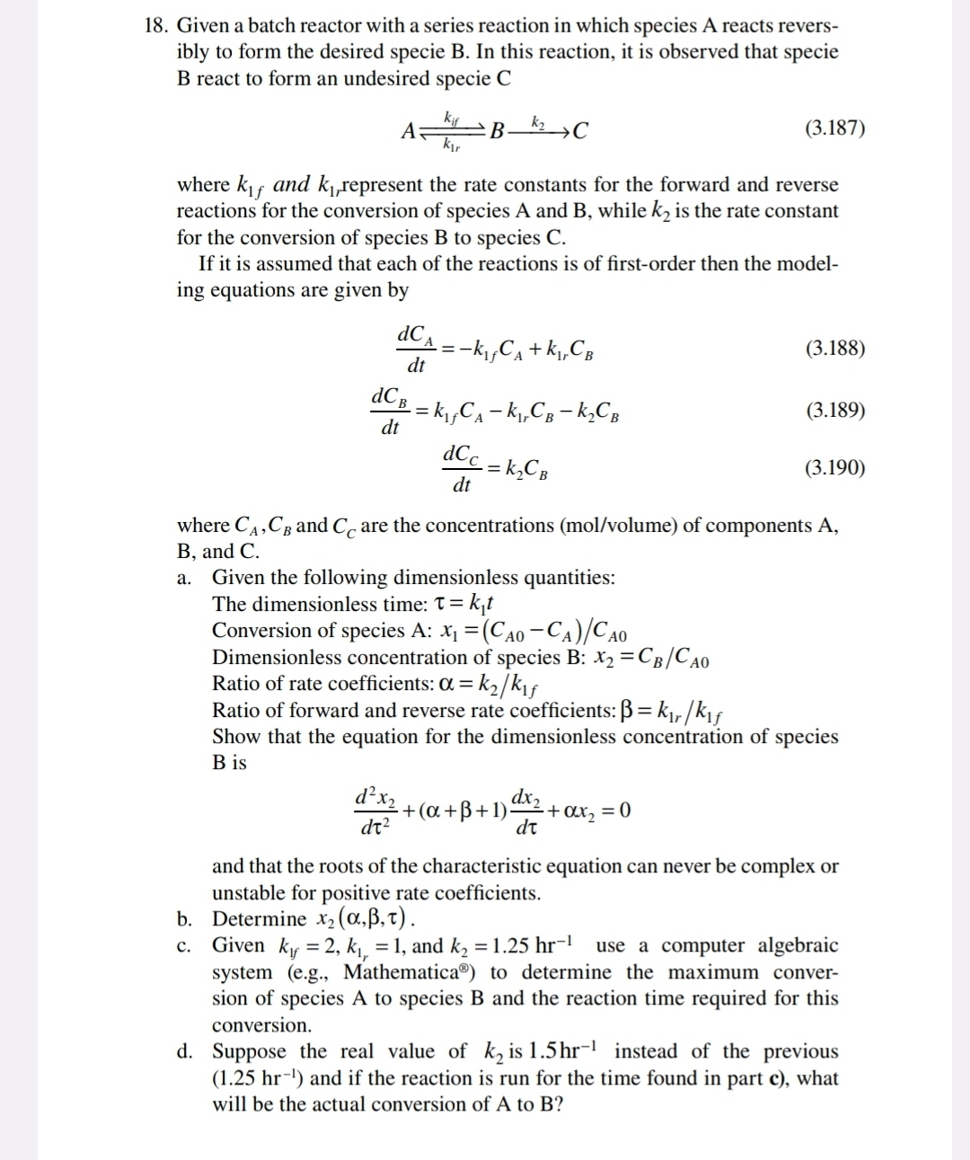
Question: Given a batch reactor with a series reaction in which species A reacts reversibly to form the desired specie B . In this reaction, it
Given a batch reactor with a series reaction in which species A reacts reversibly to form the desired specie B In this reaction, it is observed that specie react to form an undesired specie
where and represent the rate constants for the forward and reverse reactions for the conversion of species A and while is the rate constant for the conversion of species to species
If it is assumed that each of the reactions is of firstorder then the modeling equations are given by
where and are the concentrations molvolume of components A and
a Given the following dimensionless quantities:
The dimensionless time:
Conversion of species A:
Dimensionless concentration of species B:
Ratio of rate coefficients:
Ratio of forward and reverse rate coefficients:
Show that the equation for the dimensionless concentration of species is
and that the roots of the characteristic equation can never be complex or unstable for positive rate coefficients.
b Determine
c Given and use a computer algebraic system eg Mathematica to determine the maximum conversion of species A to species B and the reaction time required for this conversion.
d Suppose the real value of is instead of the previous and if the reaction is run for the time found in part c what will be the actual conversion of to
Step by Step Solution
There are 3 Steps involved in it
1 Expert Approved Answer
Step: 1 Unlock
Question Has Been Solved by an Expert!
Get step-by-step solutions from verified subject matter experts
Step: 2 Unlock
Step: 3 Unlock
