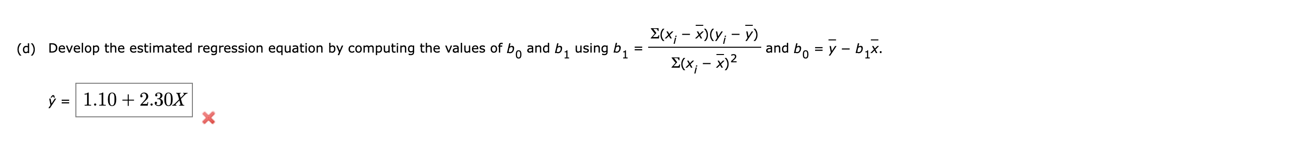
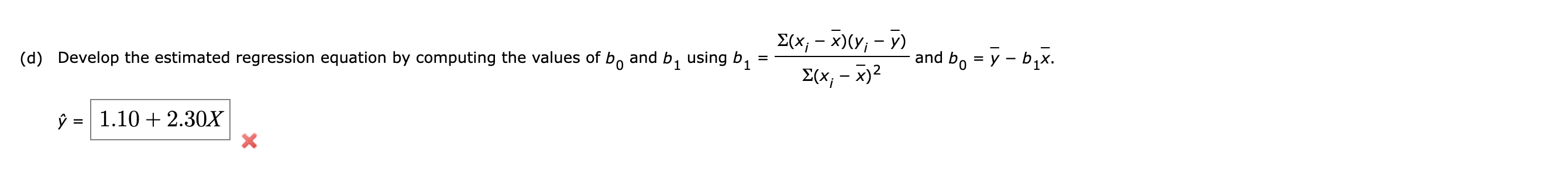
Question: Given are five observations for two variables, x and y. X; 1 2 4 5 4 5 10 14(d) Develop the estimated regression equation by




















Given are five observations for two variables, x and y. X; 1 2 4 5 4 5 10 14(d) Develop the estimated regression equation by computing the values of D0 and b1 using b1 = ' 1.10 + 2.3OX 2(x, My, V) 2(xi I02 and b0 = I, - b1}. The following data give the percentage of women working in five companies in the retail and trade industry. The percentage of management jobs held by women in each company is also shown. % Working 67 45 73 54 61 % Management 50 20 66 45 34(d) Develop the estimated regression equation by computing the values of b0 and b1. y: (e) Predict the percentage of management jobs held by women in a company that has 60% women employees. % The American Association of Individual Investors (AAII) On-Line Discount Broker Survey polls members on their experiences with discount brokers. As part of the survey, members were asked to rate the quality of the speed of execution with their broker as well as provide an overall satisfaction rating for electronic trades. Possible responses (scores) were no opinion (0), unsatisfied (1), somewhat satisfied (2), satisfied (3), and very satisfied (4). For each broker summary scores were computed by calculating a weighted average of the scores provided by each respondent. A portion of the survey results follow. + Brokerage Speed Satisfaction Scottrade, Inc. 3.4 3.5 Charles Schwab 3.3 3.4 Fidelity Brokerage Services 3.4 3.9 TD Ameritrade 3.6 3.7 E*Trade Financial 3.2 2.9 Vanguard Brokerage Services 3.8 2.8 USAA Brokerage Services 3.8 3.6 Thinkorswim 2.6 2.6 Wells Fargo Investments 2.7 2.3 Interactive Brokers 4.0 4.0 Zecco.com 2.5 2.5 (a) Develop a scatter diagram for these data with the speed of execution as the independent variable. 4.5 4.5 T 4.5 4.0 4.0 4.0 3.5 - 3.5 3.5 Satisfaction Satisfaction Satisfaction 3.0 3.0 3.0 2.5 2.5 2.5 2.5 3.0 3.5 4.0 4.5 2.5 3.0 3.5 4.0 4.5 2.5 3.0 3.5 4.0 4.52" u- 4.0 5 U 3.5 8 $3 3.0 8 2.5 2.5 3.0 3.5 4.0 4.5 0 Speed of Execution (b) what does the scatter diagram developed in part (a) indicate about the relationship between the two variables? 0 The scatter diagram indicates a negative linear relationship between speed of execution rating and overall satisfaction rating for electronic trades. O The scatter diagram indicates a positive linear relationship between speed of execution rating and overall satisfaction rating for electronic trades. O The scatter diagram indicates no noticeable linear relationship between speed of execution rating and overall satisfaction rating for electronic trades. (c) Develop the least squares estimated regression equation. (Round your numerical values to three decimal places.) 9: (d) Provide an interpretation for the slope of the estimated regression equation. O The slope gives the overall satisfaction rating when the speed of execution rating is 0. O The slope gives the speed of execution rating when the overall satisfaction rating is 0. O The slope gives the change in the speed of execution rating for every one point increase in the overall satisfaction rating. 0 The slope gives the change in the overall satisfaction rating for every one point increase in the speed of execution rating. 0 The slope gives the change in the speed of execution rating for every one point decrease in the overall satisfaction rating. (e) Suppose Wells Fargo Investments developed new software to increase their speed of execution rating. If the new software is able to increase their speed of execution rating from the current value of 2.7 to the average speed of execution rating for the other 10 brokerage rms that were surveyed, what value would you predict for the overall satisfaction rating? (Round your answer to one decimal place.) : A landscaping company has collected data on home values (in thousands of $) and expenditures (in thousands of $) on landscaping with the hope of developing a predictive model to help marketing to potential new clients. Suppose the following table represents data for 14 households. Home Landscaping Value Expenditures ($1,000) ($1,000) 241 8.2 322 10.7 199 12.3 340 16.1 300 15.7 400 18.8 800 23.5 200 9.5 522 17.5 548 22.0 438 12.2 463 13.5 635 17.8 357 13.8 (c) Use the least squares method to develop the estimated regression equation. (Let x = home value (in thousands of $), and let y = landscaping expenditures (in thousands of $). Round your numerical values to ve decimal places.) y = 0.02144): + 6.276 X (d) For every additional $1,000 in home value, estimate how much additional will be spent (in $) on landscaping. (Round your answer to the nearest cent.) $ 21.44 x (e) Use the equation estimated in part (c) to predict the landscaping expenditures (in $) for a home valued at $375,000. (Round your answer to the nearest dollar.) $ 14.32 x To the Internal Revenue Service, the reasonableness of total itemized deductions depends on the taxpayer's adjusted gross income. Large deductions, which include charity and medical deductions, are more reasonable for taxpayers with large adjusted gross incomes. If a taxpayer claims larger than average itemized deductions for a given level of income, the chances of an IRS audit are increased. Data (in thousands of dollars) on adjusted gross income and the average or reasonable amount of itemized deductions follow. Adjusted Gross Income Itemized Deductions ($1,000s) ($1,000s) 22 9.6 27 9 .6 32 10.1 48 11.1 65 15.5 85 19.7 120 23.5 (a) Develop a scatter diagram for these data with adjusted gross income as the independent variable. 30 30 25 25 20 20 Itemized Deductions ($1,000s) 15 Itemized Deductions ($1,000s) 15 Itemized Deductions ($1,000s) 10 10- .. . 5 5 0 20 40 60 80 100 120 140 0 20 40 60 100 120 140 0 20 40 60 80 100 120 140 O Adjusted Gross Income ($1,000s) Adjusted Gross Income ($1,000s) Adjusted Gross Income ($1,000s)30 25 20 Itemized Deductions ($1,000s) 15 10- . . . 5 . 0 20 40 60 80 100 120 140 O Adjusted Gross Income ($1,000s) (b) Use the least squares method to develop the estimated regression equation that can be used to predict itemized deductions (in $1,000s) given the adjusted gross income (in $1,000s). (Round your numerical values to three decimal places.) y = (c) Predict the reasonable level of total itemized deductions (in $1,000s) for a taxpayer with an adjusted gross income of $52,500. (Round your answer to two decimal places.) $ thousand If this taxpayer claimed itemized deductions of $20,800, would the IRS agent's request for an audit appear justified? Explain. Since the predicted amount of itemized deductions is roughly the same as the actual claimed itemized deductions, the agent's request for an audit appears to be justified. Since the predicted amount of itemized deductions is significantly less than the actual claimed itemized deductions, the agent's request for an audit appears to be justified. Since the predicted amount of itemized deductions is roughly the same as the actual claimed itemized deductions, the agent's request for an audit does not appear to be justified. Since the predicted amount of itemized deductions is significantly greater than the actual claimed itemized deductions, the agent's request for an audit does not appear to be justified. O Since the predicted amount of itemized deductions is significantly greater than the actual claimed itemized deductions, the agent's request for an audit appears to be justified
Step by Step Solution
There are 3 Steps involved in it
Get step-by-step solutions from verified subject matter experts
