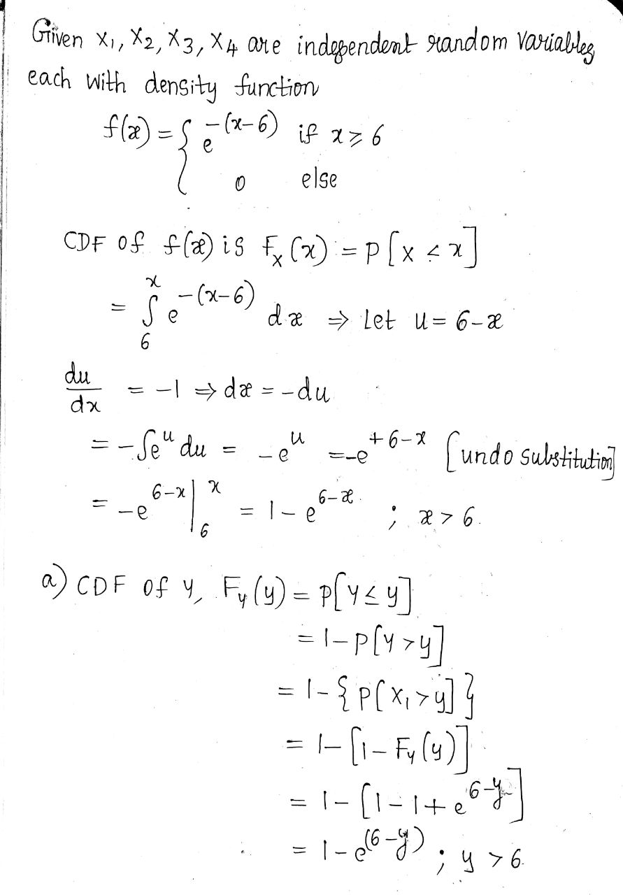
Question: Given X 1 , X2 , X3 , X 4 are independent random Variables , each with density function f (a ) = S -


Given X 1 , X2 , X3 , X 4 are independent random Variables , each with density function f (a ) = S - ( x - 6 ) if x 7 6 0 else CDF Of f (2) is F (x ) = px
Step by Step Solution
There are 3 Steps involved in it
Get step-by-step solutions from verified subject matter experts
