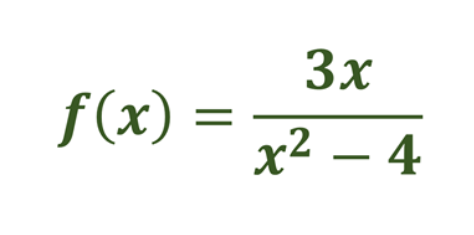
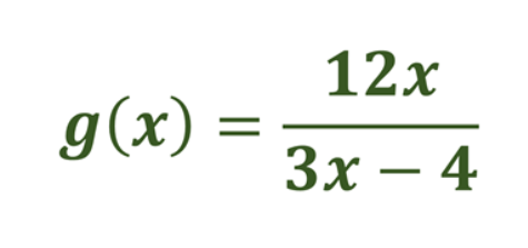
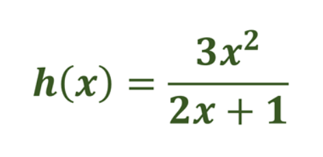
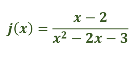
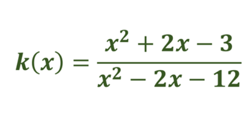
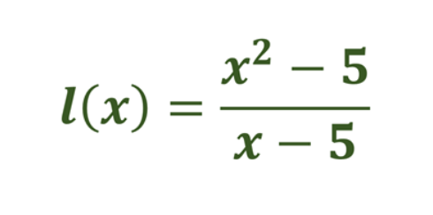
Question: Graphing Rational Functions Graph the following rational functions, use a graphing paper. One graphing paper for every graph of a rational function. Label the intercepts,
Graphing Rational Functions
Graph the following rational functions, use a graphing paper.
One graphing paper for every graph of a rational function.
Label the intercepts, asymptotes, domain and range.
Write all of your solutions in an intermediate paper.
Take pictures of all your work and attach here.
The total image files should not exceed 40MB.
HERE IS HOW U GONNA DO
- STRICTLY USE GRAPHING PAPER
- HAVE A GOOD HAND WRITING
- NO CURSIVE WRITING IS ALLOWED
- MAKE IT READABLE
- OBSERVE THE PROPER ORIENTATION OF THE ATTACHED PHOTO IT MUST BE IN ALL PORTRAIT
- ASSURE THAT IT IS CLEAR AND ACCURATE
- OTHERWISE, YOU COULD ALSO ATTACH IT IN A PDF AND PROVIDE THE PUBLIC SHREABLE LINK FOR BETTER LAYOUTING AND VIEWING COMPATIBILITY.
- AND I THANK YOU!
Note: If you have already answered this question and this question pops up again, just skip this question because I will double post this question. Thank you.






Step by Step Solution
There are 3 Steps involved in it
Get step-by-step solutions from verified subject matter experts
